First Monday


Electronic Purses: (Which) Way To Go?

Special Issue Update

This paper is included in the First Monday Special Issue #3: Internet banking, e-money, and Internet gift economies, published in December 2005. Special Issue editor Mark A. Fox asked authors to submit additional comments regarding their articles.

The article below, which was written in 2000, showed that initial expectations about consumer uptake and retailer acceptance of e-purses were unrealistic. The article concluded that “the initial euphoria ha[d] faded away and, at best, ha[d] turned into cautious optimism”. Today, things look even bleaker. In Europe several schemes have simply been discontinued and only a handful are doing reasonably well, particularly in the Benelux (see Van Hove, L., “What Future for Electronic Purses?”, forthcoming in Lammer, T. (ed.), Handbuch E-Money, E-Payment & M-Payment, Springer Verlag, 2006).

My original article noted that experts who still believed in e-purses saw two major ways in which the new payment instrument could eventually be brought to the top of consumers' wallets. The two magic formulae put forward were 'multi-application' and 'electronic commerce'. Today, it can safely be stated that the Internet is unlikely to save e-purses. However, the first formula might still do the trick. For example, in Hong Kong retail usage of the Octopus transit card is growing steadily. And transit operators around the word are following in Octopus’ tracks. In Europe, London’s Oyster card is the case to watch. Starting in January 2006, Transport for London will extend the use of the card to low-value purchases at retail stores in the capital.

This paper uses a unique data set covering 12 national systems to document the current state of electronic purse projects in Europe. Specifically, it presents and compares rates of penetration and use, and analyses their evolution over time. While one or two EPs perform significantly better than the others, retailer acceptance and consumer uptake invariably fall short of expectations. This does not bode well for the use of EPs on the Internet, and particularly since the virtual world presents a number of additional hurdles. On the other hand, it may also present additional opportunities.

Contents

Introduction
The Data
Cards
Terminals
Frequency of Use
Float
Conclusions, Part 1: A Long Way To Go
Conclusions, Part 2: Which Way To Go?

Introduction

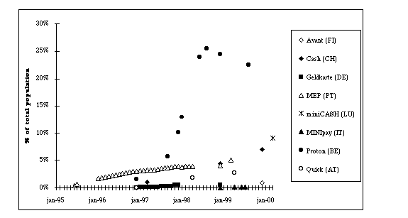
In the first half of the 1990s, when the technology underwent its first implementations, many of the operators of electronic purse schemes - and many analysts, for that matter - had high hopes. Europay Austria, for example, was confident that the Quick EP would displace 20% of cash transactions within three years from the date of launch [ 1] (see Figure 1). Today, even the more conservative targets - such as Proton's 5% in 5 years - have turned out to be challenging. Indeed, recent news from the EP front has been rather sobering. It is true that EP operators and other payment organisations representing more than 90% of the EP cards now on the market have endorsed the Common Electronic Purse Specifications (CEPS). This move towards standardisation is undoubtedly a positive development - especially for the future of EPs as a means of payment in the virtual world (Van Hove, 1999a). But the negative news predominates. Over the past couple of years several important pilots have been shut down because of a largely indifferent public. Other pilots are still up and running, but with limited success.

Figure 1: Overview of Predictions Made by EP Operators
Compiled from different sources; see Van Hove (1997, p. 468).

In the UK, Mondex discontinued the Swindon pilot after three years [ 2]. In the end some 14,000 cardholders [ 3] were involved (Mondex International, 1998; Böhle et al., 1999, p. 40), far fewer than the uptake of 25,000 that was originally predicted for the end of 1995 (Lewis, 1998) [ 4]. Mondex has stated that it will not be doing any more pilots in the UK (Mondex International, 1998), but seems no nearer a national roll-out. As for the trial of the competing Visa Cash card in Leeds, no findings have been made public but "it is understood that usage levels remain low" (Böhle et al., 1999, p. 40). The trial has now been extended until September 2000. Significantly, while UK financial institutions are currently in the process of replacing their 72 million credit and debit cards by EMV-compliant chip cards [ 5], the cards are not EP-ready since the banks have opted for the lowest technical specification (Price, 1999). Since the EMV migration is expected to take some three years (Böhle, 1999, p. 39), it is clear that the UK is unlikely to see a national roll-out of EPs anytime soon - at least not on bank-owned cards [ 6]. In neighbouring Ireland, the outlook does not appear to be very promising either. Consumer uptake in the Visa Cash trial in Ennis is reportedly anything but lasting. One commentator remarked that "the novelty wore off and the initial card balances ran down to zero" (Rapaport, 1999). As for merchants, while up to 250 retailers once accepted the card, only about 25 were still participating in March 2000 (Card Technology, 2000b).

Attempts to convert North Americans to a cashless culture are being similarly frustrated. On December 31st 1998 the high-profile test of Mondex and Visa Cash EPs in Manhattan's Upper West Side - the most important U.S. pilot to date - drew to a close after a 15-month run. From a technical point of view the test was a success in that it demonstrated that the two schemes could co-exist on the same equipment. But commercially, the test was a failure. Even though they received free countertop terminals for the pilot and did not have to pay handling fees, merchants dropped out one by one, so that near the end of the trial a mere one-quarter of the original 675 still remained in the program. Consumer response was equally lukewarm. According to Chase Manhattan figures, barely 8 to 10% of the cards issued in New York were used regularly (Washington Post, 1998). And according to our own calculations, on average cardholders did not even spend one dollar per card per month (Van Hove, 1999b), a fact which indicates that a significant percentage of the cards in circulation simply remained unused. Thus, it is not surprising that U.S. banks appear to have shelved their EP plans. In Canada, the 1997 trial of the Proton-based Exact card by the Bank of Montreal and the Toronto Dominion Bank in Kingston (Ontario) reportedly also saw "extremely low usage of the card" (Mester, 2000, p. 13). Also in Canada, the trial of the competing Mondex technology in Guelph (Ontario) also drew to a close without subsequently being expanded into full deployment. After announcing "early signs of success", Mondex Canada fairly quickly acknowledged "that there is a significant adaptation period required before consumers will incorporate [Mondex] into everyday use" (Mondex Canada, 1997). The national roll-out, which was scheduled initially for the first quarter of 1998, has been delayed ever since. Some of the Mondex licensees for Canada did launch a new pilot in August 1999, this time in Sherbrooke (Quebec). On the other hand, the Visa Cash pilot in Barrie (Ontario) entered its third year in October 1999 and appears to be fairly successful (see below).

Turning to Asia, it is worthy of note that Mondex has failed to fulfill its original expectations in Hong Kong, too. One year after its commercial roll-out, Jan McGrath, manager of Hongkong Bank's Project Mondex, acknowledged that the bank was just "75 percent" satisfied with the results of its Mondex offering (Lemon, 1998). Observers believe transaction volumes are low (Davis, 2000) [ 7]. In Australia, ERG launched its Proton-based ECARD - formerly known as Quicklink - into large-scale public use in Western Australia in July 1998. However, this was not done in collaboration with a bank, but in association with HBF, the local leading health insurance group, who decided to incorporate ERG's smart card technology into its new membership cards (ERG, 1998b) [ 8]. It was only in March 1999 that a bank, namely Bankwest - reportedly the largest bank in Western Australia - joined the scheme (PWI, 1999a). Although the results of a consumer survey of the Newcastle pilot were encouraging [ 9], ERG has so far not revealed any results for the commercial roll-out. According to a recent BIS survey, usage of the purse has been modest (CPSS, 2000, p. 1).

The limited information that is available on EP pilots in Latin America is not too encouraging, either. Five months into the Futura 3000 pilot in Pérez Zeledón in Costa Rica, for example, 17,000 cards had been issued, of which 10,000 (59%) had been activated (Yanancy Noguera, 1998) [ 10]. This gives a penetration rate of 29% (17% if only the activated cards are considered). The initial goal was 40,000 cards (Jiminez and Chavez, 1997) - and a penetration rate of 69%. During these first five months, a total of CRC 20 million was spend using the cards, which amounts to CRC 235 (USD 0.87) per card per month - and CRC 400 (USD 1.47) per activated card. In Brazil, the 'Moeda Eletrônica Bradesco' (Electronic Cash Bradesco) card - which is based on the Portuguese Multibanco EP - is being tested in the town of Itu (São Paulo) since September 1996. Three years after the start, there were 41,100 cards in circulation which were used on average for 0.5 transactions per month (CPSS, 2000, p. 10).

Finally, even in continental Europe - which is clearly leading the world in that full-scale implementation is well under way in many countries - the picture is not always that rosy either. For example, the use of the Portuguese Multibanco EP, which was in its fourth year of operation, actually fell in 1998 (Welch, 2000, p. 22). Also, although originally announced by the Groupement des Cartes Bancaires for 1998, the national roll-out of a French EP has now been postponed until 2001 (Alberganti, 1999). Even so, there are still other EP schemes - such as Belgium's Proton - which boast impressive growth rates in the number of transactions and terminals.

However, the trouble with the available data is that while EP operators are usually quick to release either cumulative figures (e.g., the total number of transactions since the launch), absolute figures (such as the volume of transactions in a given month), or growth rates, they rarely present relative figures (such as the number of transactions per card). Also, nobody has as yet taken the trouble to compile comparable data for a representative number of EP schemes. The present paper aims to fill this gap. Using a unique data set covering 12 national systems, it tries to document the current state of EP projects in Europe. Specifically, the paper presents and compares rates of penetration and use both over time and across countries. While the paper is thus essentially descriptive, whenever possible it also tries to point to explanations for some of the findings. The final Section tries to assess the outlook for EPs. In particular, it reflects on the argument increasingly put forward that having as yet failed in the real world, the future of EPs now depends on electronic commerce.

The Data

The bulk of the data used in the following Sections was obtained directly from the payment organisations backing the respective EPs (see Acknowledgments). Wherever possible, the data were subsequently supplemented with figures taken from the ECB 'Blue Book', the BIS 'Red Book', the recent 'Survey of Electronic Money Developments' published by the BIS (CPSS, 2000) and a number of other publications [ 11]. Since not all EP operators were equally forthcoming, the depth of the data can differ markedly across schemes. A number of schemes are not covered at all. The major blind spot is undoubtedly the Netherlands, the country with the highest levels of purse penetration in Europe. We were unable to obtain pertinent statistics concerning Chipper. As for Chipknip, we found some data on the number of cards and terminals (Interpay, 2000; PWI, 2000), but we have no data on actual usage [12].

Since we wanted to be able to make a detailed analysis of developments in penetration and usage rates, we applied for, and subsequently used, only monthly figures - at the cost of losing some of the more readily available observations. For example, transaction data in the ECB and BIS statistics are annual figures, which could not be fitted in into our database [ 13] Note also that the time series for the respective EP schemes cover varying periods. Some start as early as April 1995 and the most up-to-date stop in December 1999. In order to make the figures comparable, only those EP schemes are considered that have entered the commercial roll-out phase [ 14]. This explains why, for example, the UK is not covered and why no mention is made of Mondex. For the same reason the paper concentrates on reloadable EPs. In the case of the Danish Danmønt EP - which is only available as a disposable card (ECR, 2000b) - this explains why no figures for the number of cards or the number and value of transactions are given. On the other hand, figures for the float and the number of terminals are included since these are fully comparable with other schemes. Note also that the figures on Finland relate only to the new multi-function card introduced in March 1997 - sometimes termed Avant II - which replaced the original Avant card.

A final caveat is that the graphs presented in the next Sections should be interpreted with caution in view of the many country-specific differences. The most important difference obviously is that the EP schemes surveyed may be at very different points in the product lifecycle. In order to make the results of the schemes more comparable two versions of each graph are presented: one with a 'normal' time axis and a second one with the number of months since roll-out on the horizontal axis [ 15]. There are, however, other differences which are not corrected for in the graphs. Differences in consumer and merchant fees are but one example. The pace of the geographical expansion of the network may also differ significantly from scheme to scheme. The Proton card, for example, was introduced across Belgium in phases - city by city - and it took Banksys more than two years to cover the whole of the country [ 16]. The Italian MINIpay scheme, which was expanded to four cities besides the pilot city of Turin during spring 1997, is still not operating nationwide (Böhle et al., 1999, p. 45). It should also be borne in mind that the Spanish Visa Cash and the Dutch Chipknip scheme face domestic competition from other schemes (Euro 6000 and Monedero 4B, and Chipper respectively). This also implies that, unlike for the other countries, the Visa Cash and Chipknip figures are not representative of the overall penetration of EPs in their respective countries [ 17]. Finally, it has to be stressed that the Portuguese MEP cards are (still mainly) stand-alone cards (CPSS, 2000, p. 70). The same is obviously true for the (disposable) Danmønt cards.

Cards

Figure 2a provides a picture of the total number of cards issued in the countries studied, even though this number is not a very meaningful indicator - not of success, that is. This is because in several of these countries - Belgium and Germany, for example - EPs were simply incorporated into debit cards and sent out to cardholders when their debit cards were due for renewal. Under these circumstances, the number of EPs in circulation obviously increased steadily. However, as will be shown, many of these 'unsolicited' EPs typically remain unused. Figure 2a therefore provides little more than a picture of the pace of card renewal.

Figure 2a: Total Number of Cards in Circulation (% of Population).

The Figure shows - and this becomes even more apparent in Figure 2b - that the Luxemburg miniCASH scheme, which was only launched in February-March 1999, reached an extremely high level of card penetration very quickly. As it happened, every Bancomat card (the local debit card) in the Grand Duchy was due for renewal at the end of 1998 (James, 1999).

Figure 2b: Total Number of Cards in Circulation (% of Population).

The Dutch and German banks were also quick in putting EPs into the hands of cardholders. In Austria, too, high penetration levels were reached quite early. In December 1996, eight months after the preliminary start in five cities and only two months after the full-scale national launch, the penetration rate already amounted to 41% [ 18]. Note also the 1999 acceleration in card penetration in Sweden - after a fairly slow start. Concerning Belgium, it has to be stressed that the Proton card was initially available as a stand-alone card only. It was only at the turn of 1996-1997 that the Belgian banks started mounting the Proton EP on their debit cards. Afterwards the Belgian banks caught up fairly quickly with their German counterparts [ 19]. Nevertheless, the pace of introduction was still somewhat slower than Banksys' expectations. The target for end 1997 (4.5 million) was only reached in May 1998, and the target for end 1998 (7.7 million) had still not been reached in November 1999, the final month taken into consideration by our database [ 20]. The Finnish banks also missed their target: the number of Avant cards in circulation at end-1999 was 1/3 lower than expected [21].

As mentioned in the previous Section, the Chipknip and Visa Cash figures are not representative of the overall penetration of EPs in their respective countries. In November 1999 the two local EPs had some 20 million cards in circulation between the two of them (13 million Chipknips and 7 million Chippers) for a population of 15.7 million (CPSS, 2000, p. 100). To the best of our knowledge, this makes the Netherlands the only country with more EPs than inhabitants. Note in this respect that 60% of the Dutch population has more than one giro account (Böhle et al., 1999, p. 46). According to data taken from the ECB 'Blue Book', the combined penetration rate of the Spanish EP schemes amounted to 14.5% at the end of 1998 - which is only slightly higher than the 10.7% reached by Visa Cash alone.

As has already been pointed out, in several countries a large percentage of the cards issued remains unused. Figures 3a and 3b therefore present a more reliable indicator of card penetration: the number of activated cards (defined as cards loaded at least once) [22]. In both Figures Proton towers way above the other schemes [ 23].

Figure 3a: Activated Cards (% of Population).

Figure 3b: Activated Cards (% of Population).

When comparing Figures 3a and 3b with Figures 2a and 2b, it is also striking that the EP density of a number of the schemes is significantly lower when gauged in terms of the number of activated cards. This is true for the Swiss Cash card, the Austrian Quick EP, the Luxemburg miniCASH card, and, especially, for the German Geldkarte. This obviously also shows up in Figures 4a and 4b.

Figure 4a: Activated Cards (% of Total).

However, the Geldkarte is a special case because the German figures do not relate to activated cards but rather to 'active' cards (defined as cards that are used - either loaded or used for payment - at least once during the month in question). Due to this significantly more rigorous definition, the Geldkarte data are in fact not comparable with the data on the other schemes [ 24].

Figure 4b: Activated Cards (% of Total).

Turning to Figures 4a and 4b, which depict the ratio of activated cards to total cards issued [ 25], there are clearly other interesting observations to make besides the already mentioned high and low values. One is the seemingly erratic development in the proportion of activated Proton cards. This is due to the phased roll-out of Proton and the gradual addition of the Proton application to existing debit cards. This implies that the overall statistics - as in Figures 4a and 4b - include at once people who have long been familiar with Proton, and people (and regions) who have become acquainted with it only recently [ 26]. It will also be noticed that the proportion of activated MEP cards declined slowly between May 1997 and April 1998 [27].

Terminals

Turning to terminals, the first thing that stands out in Figure 5a is the high number of Chipknip terminals. The other Dutch scheme, Chipper, reportedly also has a relatively high number of terminals in the market. According to a newspaper report (Kruijt, 1999), there were some 80,000 Chipper acceptance points in October 1999. This corresponds to 5,100 terminals per one million inhabitants, a level which is second only to Chipknip and Proton. It should be stressed, however, that the combined penetration rate of Chipknip and Chipper cannot be calculated by adding up their individual acceptance points. This is because the two schemes signed an interoperability agreement in April 1999 (CPSS, 2000, p. 63). For example, both cards can be used to pay for calls in all 22,000 public payphones in the Netherlands (PWI, 2000, p. 2). According to De Nederlandsche Bank, in November 1999 the total number of EP acceptance points in the Netherlands amounted to some 150,000 (CPSS, 2000, p. 100).

Figure 5a: Number of Terminals (Per One Million Inhabitants).

A second interesting observation is the steady increase in the number of Proton terminals. Still, as was the case with the number of cards (see previous Section), the expansion was slower than expected by Banksys. The target for end 1997 (39,000 terminals) was only reached in August 1998, and the target for end 1998 (60,000) was only reached in October 1999. Officials at Banksys are convinced that there remains significant room for growth. They believe that only about 35% of the more than 100,000 newsstands, tobacconists and other retailers that they target accept Proton (Davis, 2000). In addition, Banksys has just begun to penetrate vending machines, with fewer than 10,000 of the 150,000 machines in Belgium taking the Proton card (ibid.).

Turning to Figure 5b, it will be seen that two schemes - miniCASH in Luxemburg and the Swedish Cash scheme - consistently outperform Proton (although to varying degrees). The most interesting case of the two is miniCASH. miniCASH was the latest EP to be launched on a nation-wide scale in Europe, and seems to be doing rather well (see Float Section). Initially the Swiss Cash scheme, the Portuguese MEP scheme, and the Spanish Visa Cash schemes also had higher growth rates than Proton, but these rates proved to be unsustainable [ 28]. Concerning the Spanish scheme, it will be noted that the bulk of the growth during 1997 was due to the increase in the number of public payphones accepting Visa Cash. Beyond that point, the expansion was related exclusively to 'merchant acceptance points' since all 84,721 Spanish payphones had been converted by the beginning of 1998.

Figure 5b: Number of Terminals (Per One Million Inhabitants).

Figures 5a and 5b also show that the number of Geldkarte terminals is clearly too low. An analysis of the ratio of the number of cards issued to the number of terminals (not depicted), shows clearly that while the German banks put chip cards into the hands of cardholders with all speed, the number of Geldkarte terminals did not keep pace [29, 30]. This was also the case for the Austrian Quick EP. Where Danmønt is concerned, it will be noted that there was very slow growth in the number of terminals until end-1997 - which becomes especially apparent in Figure 5b - and that between end-1997 and end-1998 the number of terminals even dropped [ 31]. The lack of acceptance points obviously results in disappointing usage levels. It is particularly symptomatic that of the 209 million DEM loaded onto Geldkarte cards in 1997, no less than 12% was unloaded in the same year [ 32]. It is also interesting to observe that in January 1997, 10 months after the start of the pilot in Ravensburg, no fewer than 25% of the cards issued by the local Kreisssparkasse were 'active' (Gentz, 1997, p. 82) as compared to only 2.5% on a national level in December 1999 (Heise, 2000). But then the ratio of cards to terminals was 133 in Ravensburg (Gentz, o.c., p. 54) as compared to an overall national figure of no fewer than 22,000 at end-1996, 694 at end-1997, and 750 at end-1998. Note that the Ravensburg figure of 133 is comparable to the current ratio for the Proton scheme (which stood at 115 at end-October 1999).

Frequency of Use

Now that we have documented developments in the 'infrastructure' of the respective EP schemes, the key question obviously is: what about actual use? A problem here is that it is not easy to find a good indicator of card use. Figures 6a and 6b give the average frequencies of use per card and per month. The most important observation is obviously the low overall level of the results: none of the schemes even reaches the level of one transaction per month. The Proton scheme clearly has the 'best' results throughout [ 33]. It will be noticed that the abrupt drop in the frequency of use which occurred in December 1996 was caused by an end-of-year jump in the number of debit cards being renewed. The Proton figures are also influenced to a large extent - one might even argue biased - by the gradual geographical expansion of the scheme: tapping new regions lowers the overall result. The figures for May-November 1996, for example, are still strongly influenced by the cards that had been in use for more than a year in the pilot cities of Louvain and Wavre [ 34]. Note that the frequency of use for April 1996 - the final month of the Louvain/Wavre pilot - amounted to 2.1. As new cardholders were added after the May 1996 roll-out, the overall frequency of use gradually dropped and subsequently plummeted in December 1996, when card renewal reached cruising speed. Note also that - as in the case of physical cash - Proton use appears to be subject to seasonal fluctuations and is lower during July and August.

Figure 6a: Frequency of Use, All Cards.

With the exception of miniCASH and the Swiss Cash scheme (see below [ 35]), the other schemes for which we have data are not doing very well - to say the least. Given the low number of terminals (see the previous Section), the low rates of use for the Geldkarte should come as no surprise. Moreover, as Godschalk and Schulz (1999, p. 4) emphasize, merchants are primarily acquired amongst those who already accept credit and/or debit cards. As a result, the majority of the Geldkarte acceptance points are currently not part of the real target population of the card - namely, low-value, cash-intensive businesses (ibid.). Where Quick is concerned, Robert Komatz, the Electronic Purse Product Manager at Europay Austria, also pointed out - in a May 1998 e-mail - that the low rate of use of Quick cards up to that point was due to the fact that there were not enough (Quick-only) terminals [ 36]. At the end of 1996 52% of the total number of terminals were in fact converted "Bankomat-Kasse POS" terminals (that is, terminals belonging to the debit card network). This number had even increased to 90% by the end of 1997 and to 92% by the end of 1998 [ 37]. Herr Komatz also pointed out that the 300 vending machines that had been installed by the spring of 1998 were for their part frequently used, and that this number should be increased. Interestingly, by May 1999 the number of vending machines had indeed increased significantly (to 1,000) [ 38], and - while accounting for a mere 5% of the total number of terminals - these machines accounted for no less than half of the total number of payments during that month. Note that in Portugal, too, the share of EP-only terminals appears to be too low: "By the end of 1998 [the MEP] network had more than 53 thousand units, most of them associated to EFT-POS Terminals, and about 16 thousand off-line PMB [that is, Multibanco Electronic Purse] Terminals" [39].

Figure 6b: Frequency of Use, All Cards.

Where Spain is concerned, it is not very comforting to see that both the number and amount of purchases conducted with Visa Cash hardly changed at all between Q1 1998 and Q2 1999, even though the number of both cards and terminals increased. Specifically, whereas the number of Visa Cash cards in circulation increased by 51%, the number of purchase transactions increased by only 1.2%. This obviously results in a falling frequency of use, as can be seen in Figures 6a and 6b. Finally, it will be seen that the rate of use of the Swiss Cash card more than doubled between end-1998 and end-1999, and more than quadrupled compared to January 1998. Even so, the level is still low. This is due to the large number of cards that are not activated (see Figures 4a and 4b).

To complete the picture, it will be noted that according to the ECB 'Blue Book', the number of EP transactions in Italy increased by a mere 5.1% between 1997 and 1998 (the total value even decreased by 18%) [ 40]. It is also noteworthy that recent anecdotal evidence on the Netherlands - for which, it must be repeated, we have unfortunately no transaction statistics - also points towards a low rate of use. The October 1999 survey mentioned earlier revealed that only one out of every four Dutch cardholders had used their Chipknip or Chipper to pay for purchases in the four weeks prior to the survey. And according to an article in European Card Review (ECR, 1999a), Chipknip, with 13 million cards and Chipper, with 7 million, were "both believed to be recording around 2 million transactions per month" in the spring of 1999. This works out to a rate of use of 0.15 and 0.29 transactions per card per month. This is significantly better than the Geldkarte, MINIpay, Quick and Visa Cash schemes, which were all in the 0.02-0.04 range. Even so, it is respectively four and two times lower than Proton at that point in time, while Chipknip clearly has a better 'infrastructure' (cards and terminals) in place (see previous Sections). Given the German, Austrian, and Portuguese experience documented above, it would clearly be interesting to find out exactly how many of the Chipknip acceptance points are in fact Chipknip-only. The available information indicates that by the end of 1999 there were some 2,600 car park ticket machines that accept Chipknip, together with some 450 vending machines and 20,000 public payphones (PWI, 2000). Taken together, these unattended POS (U-POS) applications account for some 16% of the total number of Chipknip acceptance points. Where vending machines are concerned, there clearly remains significant room for growth.

To put things into perspective, it has to be stressed that the frequencies of use presented in Figures 6a and 6b relate to the total number of cards. Figures 7a and 7b give frequencies of use per activated card. The overall level of these frequencies is obviously higher compared to those in Figures 6a and 6b. Even so, it falls well short of expectations for a mature EP which - according to Rolfe (1998, p. 17) - would be three or four transactions per day. Concerning Proton, it has again to be stressed that the phased geographical expansion of the scheme has been a major factor behind the evolution of the results: the frequency of use per activated Proton card dropped gradually from 2.37 in December 1996 to 0.77 in August 1998, and subsequently increased to reach 1.65 in September 1999. The frequency of use of the Austrian Quick EP and, especially, the Swiss Cash card is increasing too. Note that, with a frequency of use of 2.75 in December 1999, the Swiss scheme had the highest usage rate of all those studied. Part of the explanation may lie in the fact that at the end of 1999 20% of Cash acceptance points were U-POS, up from 12% at end-1998. As a matter of fact, over the period mentioned, U-POS terminals accounted for more than half of the growth in the total number of Cash terminals.

Figure 7a: Frequency of Use, Activated Cards.

It is also interesting to observe that the miniCASH scheme - which outperforms Proton in terms of terminals (see previous Section) - also records higher frequencies of use. Another interesting observation - which confirms the pattern observed in the foregoing graphs - is that the use of the Portuguese MEP card gradually dropped. A final remark is that the Geldkarte figures cannot be compared to the rest of the data. Since the German data relate not to activated but rather to active cards - cards that are used at least once during the month in question - it is only natural that the Geldkarte card should perform fairly well.

Figure 7b: Frequency of Use, Activated Cards.

As an aside, it is interesting to point out that the (self-declared) rate of use of Visa Cash cards in the Canadian pilot region is significantly higher than European levels of use. By June 1999 Scotiabank had issued 40,000 Visa Cash cards in and around the city of Barrie [ 41]. All told, consumers had activated 60% of the cards issued [ 42] and had made an average of 6.2 purchases per month, at $3.50 per purchase (Card Technology, 1999a) [ 43]. In interpreting this figure, it should be borne in mind firstly that the Barrie pilot entered its third year in October 1999, meaning that it has been operational for quite some time in a restricted area and secondly, that consumers can use the cards with more than 300 merchants as well as on Barrie city buses and in vending machines and other terminals at three college campuses (ibid.). The 300 retail acceptance points alone work out to a card/terminal rate of 133 - which is identical to the level reached in the Ravensburg Geldkarte pilot (cf. supra) and comparable to the current ratio for the Proton scheme (which stood at 115 at end-October 1999). Also, experience in other countries shows that closed user groups such as college campuses can be strong drivers of EP usage. Thirdly, about a quarter of the cards carry loyalty programs (ibid.) [44].

Float

The two final figures in the paper offer comparative data on the average amount outstanding per capita. This can be interpreted as a 'summary measure' of the state of the respective schemes since the indicator is influenced not only by the degree of penetration, but also by actual use. Figure 8a shows clearly that Proton was the most advanced scheme as at December 1999. Figure 8b adjusts this picture by pointing out that the Luxemburg miniCASH scheme - which was only launched in February 1999 - actually has the best result if the number of months elapsed since roll-out is taken into account [ 45]. It is tempting to conclude that the comparatively good result achieved in Luxemburg is due in no small measure to the facts that firstly, the miniCASH cards could be used in a comparatively large number of terminals right from the start (see Figure 5b), and secondly, that a significant number of these terminals were parking meters and public payphones (see Conclusions) [ 46]. In other schemes, such applications were typically only addressed several months, if not years, into the scheme. Moreover, one commentator points out that "from day one there was virtually 100 percent penetration amongst customers, a potent argument in persuading merchants ... " (James, 1999) [47].

However, to put the figures into context it has to be stressed that, compared to currency, the total float is still negligible for all the schemes. In December 1998, the total amount outstanding on Proton cards was equivalent to no more than 0.24% of the amount of currency in the hands of the Belgian public. Also, according to an estimate by the Belgian Bankers' Association (BVB, 1999, p. 5), the number of cash transactions conducted in Belgium amount to some four billion per year. In 1998 the number of Proton transactions totaled up to 28 million - which implies that, at that point in time, Proton had displaced a mere 0.7% of cash transactions. The corresponding figure for 1999 is 1.1% [ 48]. Whether Proton will be able to reach its target of displacing 5% of cash transactions within 5 years - that is, by May 2001 - thus remains to be seen [ 49]. For its part, the Portuguese MEP scheme no longer seems to be on course to attain its target: in December 1998, the total float was lower than in December 1996. The Danish Danmønt scheme also seems to be adrift: although the float at end-1998 was 22.5% higher as compared to 1997, it was still 12.0% lower than the level reached in December 1996. And in all probability the situation did not improve much in 1999 since the growth in the number of Danmønt transactions was leveling off: in 1999 the growth rate was only 8.4%, compared to 33.8% in 1998 and 49% in 1997 [50].

Figure 8a: Float per capita, in euro.

Moreover, in 1999, third quarter transactions fell below the second quarter for the first time ever (ECR, 2000b). With TeleDanmark no longer accepting Danmønt in its payphones as of January 1 (see Terminals Section), Danmønt looks set to record an overall fall in transaction volume during 2000 (ibid.). The MINIpay scheme also seems not be making much headway: between 1997 and 1998 the float fell by some 9%.

Figure 8b: Float per capita, in euro.

Finally, it will be noted that according to the ECB 'Blue Book', the total amount outstanding on all Spanish EP cards (not only Visa Cash) as at December 1998 was 1.71 billion ESP (up from 0.15 billion ESP in December 1997). This works out to 0.26 euro per capita, which places Spain between Finland and Portugal (0.10 euro per capita) and Sweden (0.38 euro). According to De Nederlandsche Bank, the total float for the Chipknip and Chipper schemes together amounted to 56 million NLG as at end-1998. This works out to 1.78 euro per capita, a level second only to Belgium and Luxemburg. However, unlike in Belgium, in the Netherlands the float did not increase during 1999; it even fell somewhat - to 53 million NLG at end-1999 [ 51].

Conclusions, Part 1: A Long Way To Go

Our calculations show clearly that the initial expectations concerning EP adoption were unrealistic. The target for the Austrian Quick EP, mentioned in the Introduction, is a salient example. As a result, the initial euphoria has faded away and, at best, has turned into cautious optimism.

On the other hand, slow initial adoption makes economic sense (Van Hove, 1999c). EPs are subject to so-called network externalities; that is, the utility of an EP increases with the size of its network (i.e., the number of acceptance points). And network goods typically display an S-shaped adoption path: adoption is slow at first, but once it takes off a 'bandwagon effect' comes into being. This is due to the self-reinforcing nature of the demand for network goods: the more people use an EP, the more merchants will accept it, the more interesting it becomes for as yet unconvinced consumers to start using it, and so on.

It is also encouraging to see that newcomers such as miniCASH in Luxemburg and Moneo in France seem to be doing fairly well because they appear to have learned from just about everyone else's mistakes. In particular, both CETREL and SEME seem to have recognized that simply flooding the market with cards - like the German banks did - does not work because it is vital that cardholders perceive a critical mass of acceptance points right from the start. The NYC experience (Van Hove, 1999b) has shown that, in view of the existence of network effects, launching an EP in too much of a hurry should be avoided because inadequate coverage can jeopardize the positive feedback effect. In extreme cases it can even trigger a negative feedback, reinforced by negative word-of-mouth and bad press.

Figure 5b shows that, in relative terms, the Luxemburg miniCASH scheme had the highest number of terminals in operation in the first couple of months after the launch. Figure 8b points out that miniCASH also had the highest float, again in relative terms and taking into account the number of months since roll-out. As has already been mentioned, it is tempting to link these two observations. As for the Moneo pilot in Tours [ 52], at the end of the first month more than 900 terminals had been installed (Dupont, 1999a). By the end of January 2000 - four months after the start - this figure had increased to some 1,200 (Geffroy, 2000) - which works out to a card-to-terminal ratio of 33. By that time, 80% of the 40,000 Moneo cards then in circulation [ 53] had been activated (ibid.) - a very high ratio, even for a pilot. During January, Moneo cards were used on average 1.1 times. Excluding non-activated cards, the figure is 1.38 - which appears promising.

Conclusions, Part 2: Which Way To Go?

Experts who still believe in EPs basically see two major ways in which EP operators can eventually bring EPs to the top of consumers' wallets. The two magic formulae are 'multi-application' and 'electronic commerce'.

Many specialists argue that the failure of EP schemes is due to a large extent to the fact that they were viewed mainly as a cash replacement mechanism for consumers to use at retail point-of-sale. Birch (1998), for example, argues that "retail POS is the least useful place for consumers to tender an e-purse because it does nothing that they can't already do with notes and coins (and it's less convenient)". Instead, the use of EPs is "more attractive to consumers in places where notes and coins are inconvenient: vending machines, parking meters, subway tickets and so on" (o.c.). Empirical evidence appears to underpin this. It is interesting to observe that the newcomers appear to have learned a second lesson from the experience of the older schemes: they bring unattended POS (U-POS) applications into the scheme much faster. One year after start-up 300 public telephones (out of a total of 450) accepted miniCASH and 150 parking meters and vending machines had been installed (Lux-Post Weekend, 2000). By the end of 1999, unattended POS (U-POS) applications accounted for more than half of the total volume of transactions (di Bartolomeo, 2000) [ 54]. In Tours, 70 park & display terminals (out of a total of 210) had been converted by the end of November 1999, the second month of the pilot. The target for end-December was 170 (Dupont, 1999b) [ 55]. By mid-December Moneo had already accounted for 7% of the total number of payments at parking meters (Geffroy, 2000). Note that Moneo is also accepted on all the Tours buses.

Concerning Belgium, it should be noted that public payphones are proving to be the most popular use for Proton cards. In October 1999, one out of every four calls was paid for by using a Proton card. Moreover, vending machines equipped with Proton interfaces are the second most popular use. As has already been mentioned, in Austria vending machines even account for half of the total number of Quick transactions. Concerning the Visa Cash trial in Ennis, in October 1999 an Allied Irish Banks spokesman was quoted stating that even though the number of transactions had been insignificant overall, a more positive response had been recorded in the unattended terminals located in the town's car parks (Deegan, 1999) [ 56]. Steeley (1999, p. 9) reports that the Visa Cash pilot in Leeds also found city centre car parks to be the areas of greatest cash displacement [ 57]. Also, although the failed Mondex/Visa Cash pilot in NYC largely ignored U-POS applications, the cards were good for laundry machines in some apartment buildings and - interestingly enough - scored one of the program's 'best successes' (Van Hove, 1999b) [58].

Public transport is another promising application for EPs because of the critical mass of users that it provides, and because of the great potential advantage to consumers. Rolfe (1997, p. 13) argues that "transportation is the most effective way of kick-starting an electronic purse project into viability - far more so than cash replacement in outlets like bakers' shops or newspaper vendors' stands". Adams (2000, p. 28) points out that in 1999 the Octopus system in Hong Kong recorded 30 million transactions a week (compared to 45 million Proton transactions for the entire year).

Summing up, there is plenty of evidence that U-POS should not be underestimated. EP operators could also try to foster the use of EPs by tying them to loyalty or affinity programs such as frequent-flier schemes. Other candidates for inclusion on smart cards are ticketing applications and preferences (e.g., hotel accommodation and seats and meals on airlines), physical access (to buildings and parking lots), and authorizations (e.g., to spend company money or to utilize a restricted computer program). However, a sobering note is appropriate here: building a multi-application card is a complicated project that requires coordination and cooperation between different organisations and across industry borders. And the Belgian experience teaches that this takes time: Banksys reached an agreement with Belgacom as early as December 1996 and yet the first payphones were converted only in the spring of 1998. Also, the commercial launch of the jointly developed smart phone (which allows customers to recharge their Proton cards at home, to send e-mails, and to make purchases over the phone) was postponed several times. Even though it had been tested in the pilot cities of Louvain and Wavre since June 1997, the Maestro Smart eventually came onto the market in March 1999.

What about the second magic formula? Some experts argue that "the consumer demand for stored value will come from the desire to make payments over the Internet, not the more traditional channels where there are an abundance of payment methods that work well today" (Good, 1998, p. 15). In line with this, Poynder (1998, p. 21) states: "Having as yet failed to gain critical mass of usage in their e-purse projects, the banks appear now to be placing great emphasis on the use of their purses for e-commerce. It may therefore be considered that the success of e-purse may now rest with e-commerce, as well as the other way around". More and more EP operators are indeed bringing their cards to the Internet. Mondex have even repositioned themselves and now consider Internet as one of their strategic priorities (and in so doing admitted that the first stage of their strategy has failed). In July 1999, Chris Potts, deputy chief executive of Mondex International, was quoted saying: "The first wave of electronic money had a mismatch in terms of technology as well as targets. The lack of success was due to being driven by technology-push, not by market-pull" (Takezaki, 1999). Potts also stressed that a second wave of electronic money schemes was being planned: "With the growth of the Internet, e-commerce business requires a secure payment method. This change of business environment is very important for our growth" (ibid.). At Cartes '99, in November 1999, Mondex CEO Michael Keegan even said that Mondex International would be concentrating on gaining widespread use for its cards on the Internet (Card Technology, 1999b). Keegan went on to explain that Mondex were not abandoning their efforts to market their technology to real-world merchants, but that there was more opportunity for stored value now on the Internet, and "that building a premiere brand there will help Mondex capture market share in the physical world because many smart cards will be used both on the Internet and in traditional stores" (ibid.). He stressed that "Mondex could provide a secure way for Net users to pay for low-cost good and services, such as games, information, music, even fees to the Internet service provider itself" (ibid.). In a recent paper, Furche and Wrightson (2000) argue that "on the Internet, the market of interactive pay-per-use services is underdeveloped because of the lack of an efficient payment mechanism for these applications. Stored value systems would provide the payment mechanism required to facilitate payment for such services".

However, while it is true that the virtual world presents real opportunities for stored-value, in our view a number of sobering remarks are necessary in order to prevent a repetition of the real-world disillusionment. Compared to the real world, in the case of EPs the Internet has the advantage that they will not have to engage in competition with hard cash. As Birch (1998) puts it: "the competitive advantage of e-purses is in areas where notes and coins cannot compete at all: in the area of remote payments". Furche and Wrightson (o.c.) make a similar point: "The Internet is probably the environment where stored value is the most obviously useful. Here, stored value actually solves a number of problems. For one, cash does not exist here as an alternative for instant payment, and instant verification of payment". And compared to the first wave of Internet micropayment systems (none of which has gained a secure foothold), the use of EPs on the Internet does not require the loading of a user account - which proved to be an important hurdle in the case of CyberCash's CyberCoin and competing systems (Crocker, 1999).

On the other hand, whereas in the real world most people carry a debit card and (thus) an EP (even though it may not yet be activated), not everybody is online. An even fewer people have a chip card reader. In short, the base of potential EP users is smaller online [ 59] - and people actually have to invest in a chip card reader. In Belgium, Banksys showed themselves quite early to be aware of the chip card's potential as a secure means of payment for the Internet. After a small-scale test with students in Louvain and using the local university network (in 1996) and a closed community Internet pilot (in 1997), Banksys made the first version of its C-ZAM/PC terminal available to the general public in December 1997 in cooperation with access providers EUnet Belgium and Ping, and the online marketing company AdValvas. The C-ZAM/PC is a card reader (with its own screen) which can be linked to a PC. It was available for 1,999 BEF (some 50 euro) from the AdValvas Web site. Initially, consumers could only use their C-ZAM/PC for making Proton payments. In October 1998 it also became possible for Proton card holders to reload their cards over the Net. In November 1999, Banksys presented a new generation of C-ZAM/PC terminals (which now sell for 2,999 BEF - some 74 euro). At the same time, paying online with the Bancontact/Mister Cash debit card became possible. But so far, Proton has met with limited success online. Almost one year after start-up there were still only six online shops, all of which were obviously Belgian, which accepted Proton. By December 1999 [ 60] some 30 sites (selling books, computers and software, pizzas, etc.) were accepting the Proton and/or the Bancontact/Mister Cash card, and Banksys had sold some 8,000 C-ZAM/PCs - considerably fewer than the 20,000 which were targeted. Banksys refuses to release data on the number of online Proton transactions, but one source admitted that "it was not a success". Part of the explanation for the hitherto limited response undoubtedly lies in the fact that the market is still national and that the ability of merchants to sell on a global market is restricted due to the incompatibility of EPs (Van Hove, 1999a). Merchants may be willing to offer multiple settlement choices and to accept different types of EPs, but not if they need different software for each card. Obviously, few retailers also means few 'Internet-ready' cardholders because the number of online shops will be too low to warrant the purchase of a card reader. In short, the chicken-and-egg problem which troubled EPs in the real world is also present, and perhaps even more strongly, on the Internet. As argued in Van Hove (1999a), the introduction of CEPS will remove an important obstacle to the use of EPS on the Internet. Initiatives such as SmartAxis - which enables Internet merchants to accept different types of EPs by means of a single piece of software - should also make life easier for merchants. However, it will still take a couple of years before CEPS is actually implemented on an international scale. According to Rolfe (1999), larger scale implementation will not happen until 2003-2005. And CEPS obviously does not solve the card reader problem. Perhaps the online use of EPs will only really take off once PCs come standard with built-in card readers [61].

To conclude with the wisdom of hindsight, the following quotation taken from a 1996 study conducted by the U.S. Congressional Budget Office - which at that time may have been dismissed by some as overly pessimistic - was almost prophetic.

"Stored-value cards are not likely to become a mass phenomenon overnight; rather, even if they are successful, stored-value cards are likely to penetrate the economy only gradually as the right combination of features is assembled" (CBO, 1996, p. 17).

These remarks are valid as a warning for the future.

About the Author

Leo Van Hove is Associate Professor of Economics at the Vrije Universiteit Brussel (Free University of Brussels).

Web: http://econ.vub.ac.be/cfec/leo.htm
E-mail: leo [dot] van [dot] hove [at] vub [dot] ac [dot] be

Acknowledgments

I am indebted to Jyri Marviala (Automatia Rahakortit Oy), Joël Peczenik and Youri Tolmatchov (Banksys), Pierre Margue (CETREL), Simon Lelieveldt (De Nederlandsche Bank), Holger Krausse (Deutscher Sparkassen- und Giroverband), Robert Komatz and Katharina Selzer (Europay Austria), Jacques Bischoff and Leta Filli Bloch (Europay Switzerland), Jan-Olof Brunila and Gun-Liz Olander (FöreningsSparbanken), Christine Ostermann (Österreichisches Nationalbank), Enrique Rodríguez Bonachera (SERMEPA), Filipe Ledesma Dos Santos, Fernando Lourenço, Rui Meneses (SIBS), Gabriela Guibourg (Sveriges Riksbank), and Antonella Cefali and Giorgio Porazzi (TSP) for providing me with data and background information. Knud Böhle, Michael Lamb and Simon Lelieveldt provided helpful comments.

Notes

1. Towards the end of 1997 this target was lowered to 15% in 2001 - the fifth (full) year of operation (Stockinger, 1997).

2. The pilot was launched in July 1995.

3. This amounts to a penetration rate of 7.4%.

4. According to the Congressional Budget Office (1996, p. 13), Mondex's final target was 40,000 cardholders.

5. The roll-out commenced in spring 1999.

6. Interestingly, Prepayment Cards Limited (PCL) - the Proton licensee for the UK - is setting up a multi-application smart card system for the Greater Manchester Passenger Transport Executive. All the Manchester cards will be issued with a Proton mask, although it will not necessarily be implemented. PCL is in discussion with APACS with a view to implementing the Proton purse (ECR, 1999b).

7. According to data reported in a recent BIS survey (CPSS, 2000, p. 100), the average float per card was about USD 20 at end-August 1999.

8. According to a Proton World International press release (PWI, 1999a), by spring 1999 over 450,000 cards had been issued, which were accepted at the time at almost 1,500 merchant locations.

9. The research showed 88% of cardholders used ECARD and 40% used the card three to four times a week (ERG, 1998a).

10. The experience with pilots elsewhere shows that the majority of the cards are usually applied for during the first months (or even weeks) of a trial.

11. These additional references included: Clarke (1998) and Welch (1999) - for the Swiss Cash scheme; Böhle et al. (1999), Deutsche Bundesbank (1999) and the S-Card Web site - concerning the Geldkarte; Groupement Cartes Bancaires (1999) and Welch (2000) - concerning MEP; di Bartolomeo (2000) - concerning miniCASH; Böhle et al. (1999) and Steeley (1999) - concerning MINIpay; and Visa España press releases - concerning Visa Cash.

12. Note that the February 2000 issue of the ECB 'Blue Book' contains almost no figures on the Netherlands either.

13. The Visa Cash transaction data provided by SERMEPA were quarterly data, which we converted into monthly data. However, since both the number and value of transactions remained virtually constant throughout the period covered, the conversion should entail only minor distortions.

14. The problem with pilots is that EP operators typically subsidize terminals and/or cards for the duration of the trial.

15. Note that it is not always straightforward to determine this. In our calculations, we took as the date of roll-out the date at which the EP scheme was expanded beyond the pilot city. As our remarks on the MINIpay scheme in the main text illustrate, this does not necessarily mean that the EP became available on a nation-wide scale at that point in time.

16. According to the recent BIS survey (CPSS, 2000, p. 6), nation-wide coverage was achieved at the beginning of 1998.

17. This said, the Visa Cash scheme is by far the largest EP scheme in Spain: in 1998, it accounted for 74% of the number of cards in circulation, for 84% of the number of merchant terminals, and for 80% of the value of EP transactions (69% in terms of volume).

18. The drop in the number of Quick-enabled cards between December 1996 and December 1997 is due to an (unexplained) drop in the number of Bankomat debit cards with chip - from 880,000 at the end of 1996 to 652,000 at the end of 1997 (Source: Europay Austria annual reports for 1996 and 1997). According to Katharina Selzer, the reason for the rapid growth in the number of cards between December 1998 and April 1999 is in part "the extensive issuing of anonymous Quick-only cards which are not related to an account (for example, Quick cards which are issued by a chain-store and which can be used for their loyalty programs and for Quick payment)" and, in part, the replacement of magnetic stripe 'Null-Limitkarten' (which can only be used for indoor ATMs) by chip cards (Source: Katharina Selzer, personal e-mail, 10 August 1999).

19. Note that the jump in December 1997 was due to the fact that at the end of the year many cards typically become due for renewal.

20. Linkens (1997, p. 62) mentions lower target values: 4 million cards for end 1997, and 7 million for end 1998.

21. The target for 1999 was 600,000 cards, whereas the actual figure was 400,000. The targets for 2000 and 2001 are one million and three million respectively (Source: Avant home page at www.avant.fi/newsine.html, last visited on 20 March 2000).

22. Unfortunately, we have no concrete data on the number of active Chipknip cards. However, a survey - commissioned by the National Chipcard Platform and conducted by Interview-NSS in October 1999 - revealed that only one out of every three Dutch cardholders has ever loaded money onto his or her EP.

23. Note that the decrease in the number of activated Proton cards during 1999 is a statistical anomaly which is due to the fact that Banksys revised its calculations.

24. The recent BIS survey reports that in September 1999 261,136 MEP cards - 7.6% of the total number in circulation - had a positive balance (CPSS, 2000, p. 102). This gives a penetration rate of 2.6% (which is not comparable with the MEP data in Figures 3a and 3b due to the difference in definition).

25. In earlier versions of this paper, the Swedish Cash scheme had the highest proportion of activated cards of all the schemes studied: in June 1999 no less than 67% of all Cash cards issued would have been activated as compared to only 33% of Proton cards in September 1999. However, a comparison with data reported in the recent BIS survey revealed that the figure provided to us must be overstated: the BIS survey makes mentions of a significantly lower number of activated cards at a later point in time. If one uses the figures mentioned in CPSS (2000, p. 80), one arrives at an 'activation ratio' of (only) 20% in the Fall of 1999. This would put Cash in second position in Figures 4a and 4b, on a level comparable to the Portuguese MEP card. Note in this respect that the Swedish banks have been running a number of special incentive programs run. According to Jan-Olof Brunila of FöreningsSparbanken (now Swedbank), one of the lures is to have people to come to the bank in order to select a PIN for the chip. If they load money onto their EP on that occasion, they receive a small gift - usually a balance reader. Moreover, from the second loading cardholders obtain 1 SEK (0.1 euro) extra when they load their card.

26. Note that the ratio drops twice in December. This is because at the end of the year there is a jump in the number of cards issued (cf. Figures 1a and 1b).

27. By November 1998, one year after the commercial rollout of Mondex in Hong Kong, 38 percent of the total number of Mondex cards issued so far by the Hongkong Bank were "active". According to Jan McGrath, the manager of Hongkong Bank's Project Mondex, this figure "compares favorably with European usage rates of 20 percent and below" (Lemon, 1998). Figure 4b shows that this analysis is correct.

28. Concerning Cash in Switzerland, Clarke (1998) states that at the end of May 1997 the count was 8,500 (whereas the original plan was 11,000). At the end of November 1997 it was about 14,000 (compared with an original commitment of 20,000, reduced in mid-1997 to 15-20,000). In December 1998, the gap had become even wider: 18,500 compared with a stated target of 70,000 (o.c.). Europay computes the total potential at 150,000 terminals (Baschek, 1999).

SIBS, for its part, expected to have 50,000 MEP terminals in place by the end of 1996 (Meneses and Lourenço, 1996), but the actual figure was only some 32,500. In the longer run, the plan was "to have some 120.000 points of acceptance spread across the country, but this figure will not be achieved until the end of the decade" (ibid.). Judging from the figures for September 1999, it is unlikely that this target will be met.

29. See also "Kunden und Handel zögern bei der Geldkarte", Berliner Morgenpost, 20 October 1997, at http://www.berliner-morgenpost.de/bm/inhalt/971020/wirtschaft/story02.html.

30. Interestingly, Adams and Rolfe (2000, p. 38) note that "although (the French EP) Moneo uses Geldkarte technology, it has avoided the same marketing mistakes. SEME recruited approximately 1,500 retailers (in the pilot city of Tours) before any cards were distributed". In practice, only 900 terminals were operational at the end of the first month (Dupont, 1999a) - but this was still a large number compared to the number of cards then in circulation.

31. Alarmingly, from January 1, TeleDanmark stopped accepting Danmønt in its network of 4,000 payphones, which has accounted for around 20% of Danmønt's transactions in the past (ECR, 2000b). There are even fears that the Copenhagen metro system might follow TeleDanmark's example. According to Danish industry sources, marketing of the Danmønt product has been reduced constantly since PBS acquired TeleDanmark's interest and began operating Danmønt as a wholly-owned subsidiary. As a result, relations with vendors and service providers deteriorated (ibid.).

32. The Austrian Quick scheme had a similar problem: in 1997 15% of the value was unloaded. In 1998 this increased slightly to 16%, but in 1999 it dropped to 10%.

33. In earlier versions of this paper the Swedish Cash scheme had the best result, with a figure of 0.83 (for April 1999). However, on closer scrutiny the underlying figure for the number of transactions that had been communicated to us turned out to be wrong. Note also that if one uses the data mentioned in PWI (1999b), one arrives at a frequency of use of only 0.11 for June 1999. According to Jan-Olof Brunila this discrepancy can be explained by the fact that the PWI figure is based on FöreningsSparbanken data alone.

34. The pilot started in February 1995.

35. Figures 7a and 7b will show that the miniCASH and Cash results are depressed to a significant extent by the high number of unused cards (see Figures 4a and 4b).

36. Source: Robert Komatz, personal e-mail, 20 May 1998. See also Frey (1999): "Wenig beliebt ist Quick an jenen Bankomat-Kassen, an denen auch mit Code bezahlt werden kann. Zwar kommt die Quick-Zahlung jenen Kunden, die keine Konto-Pauschalen haben, billiger, doch überwiegt hier die Macht der Gewohnheit, sagt [Geschäftsführer von Europay Austria] Judt. ... Quick-only-Terminals, wo der Code nicht funktioniert, hätten sich bisher kaum durchgesetzt".

37. Source: Europay Austria annual reports.

38. According to a recent newspaper report (Frey, 2000), this number has not increased much since. The article makes mention of 'a little more than 1,000' Quick-enabled vending machines (which is less than 1% of the total).

39. Source: SIBS, Multibanco Electronic Purse, Web page http://www.sibs.pt/en/porta_moedas.html, visited 7 March 2000.

40. Note also that MINIpay expected to reach a level of 500,000 transactions per month by the end of 1997 (ECBS, 1997). However, in April 1999 there were only 18,000 MINIpay transactions, which corresponds to some 3.6% of the 1997 target.

41. The cards are not tied to any bank account and consumers can obtain their cards from merchants.

42. A more recent news report states that cardholders had activated about two-thirds of the cards issued (Source: "Scotiabank branches into loyalty", Card Technology News Bulletin, 20 August 1999 http://cardtech.faulknergray.com/). This is confirmed by the BIS survey, which mentions a "65% activation rate" (CPSS, 2000, p. 12).

43. We assume that this is a frequency of use per activated card. Note, on the other hand, that according to the recent BIS survey the average amount outstanding in the Barrie pilot was USD 0.68 per card (USD 1.03 per activated card) as of 31 October 1999 - which is hard to reconcile with average monthly purchases of CAD 21.7 per card as claimed by Visa.

44. Eighteen merchants are sponsoring such programs (Source: "Scotiabank branches into loyalty", Card Technology News Bulletin, 20 August 1999 http://cardtech.faulknergray.com/; CPSS, 2000, p. 12).

45. There is one caveat: the amount outstanding on miniCASH cards was calculated as the difference between the value loaded onto the cards in 1999 and the total amount spent in the same year. It should, however, be stressed that just like in the Geldkarte scheme value can be unloaded from the cards in the miniCASH scheme, too. Because our calculations do not take this into account, our result may somewhat overstate the real amount outstanding.

46. One could argue that Luxemburg is a special case in that the size of the country simplifies to some extent the task of attaining adequate coverage. It is interesting to observe that 13 months into the pilot in the cities of Louvain and Wavre, the average frequency of use of the Proton card was 2.68, compared to only 1.99 for the miniCASH card (activated cards only) at the same point in time.

47. As the failure of the Mondex/Visa Cash trial in New York has shown, in order to break the chicken-and-egg deadlock it is crucial to have as many terminals and cards in operation as possible on the day of launch (Van Hove, 1999b).

48. According to De Nederlandsche Bank (Lelieveldt, 2000), the number of cash transactions conducted in the Netherlands would amount to some seven billion per year. If the Chipper and Chipknip transaction data mentioned in Section 5 are anything to go by, the two schemes together would have displaced some 0.7% of Dutch cash transactions in 1999.

49. According to Rolfe (1998, p. 17), the target for end-2001 is 300 million transactions annually; this corresponds to 7.5% of cash transactions.

50. Source: ECB 'Blue Book' and PBS Web site at http://www.pbs.dk/forretning/kort.htm. See also Danmønt, Nyhedsbrev (Newsletter), Nr. 35, September 1999 at http://www.danmoent.dk/nyheder/main.htm.

51. Source: De Nederlandsche Bank.

52. Again it has to be stressed that comparing pilots with full-scale roll-outs is dangerous.

53. This is lower than the initial target for end-1999, which stood at 50,000 (ibid.).

54. One source reports that the terminals with the highest frequency of use are those installed in the canteen of the European School (di Bartolomeo, 2000) - which shows that 'closed user groups' can also be an important driver of EP use. The recent BIS survey states that miniCASH is most successful in car parks (CPSS, 2000, p. 55).

55. According to Geffroy (2000), this target was attained: " ... depuis la mi-décembre, l'automobiliste peut utiliser son PME sur la presque totalité des horodateurs de la ville de Tours".

56. See also Card Technology (2000b).

57. Note on the other hand that "the vending sector in Portugal is not highly developed" (Meneses and Lourenço, 1996). Also, concerning the Swiss Cash scheme, Clarke (1998) notes that whereas "Europay's market research had suggested that consumers are most interested in using cards for telephones, public transportation tickets, parking, and vending machines", "Europay staff are candid that they have been to date largely unable to address [these] kinds of payments". Cf. also Europay Switzerland (1998): "1997 lag der Schwerpunkt der CASH-Einführung auf den bedienten Verkaufspunkten". Note that at the end of September 1998 there were 16,000 attended and 1,800 unattended Cash terminals (Welch, 1999, p. 8).

58. In a survey of consumers participating in the pilot, they said "they would like to use the cards for services not currently available in the New York City pilot - for vending machines, cabs, buses, pay phones, and self-service laundries" (Clark, 1998, p. 48).

59. On the other hand, one could argue that people with an online connection have a higher propensity to adopt EPs.

60. Banksys expects the list of accepting merchants to grow to around 80 by end-2000 (ECR, 2000a).

61. In this respect is interesting to note that American Express offered free card readers to holders of its new Blue credit card (Balaban, 1999; Card Technology, 2000a). When launching its Proton scheme on the Internet, Banksys also gave away 1,000 card readers in an attempt to break the vicious circle and jump-start the program. Reston, Va.-based Cybermark LLC apparently has similar plans. Cybermark recently launched a Web portal to offer new services to the more than 30 North American colleges and universities that use the company's smart card technology. The first applications allow students to cast ballots in campus elections and to transfer value from bank accounts to the electronic purse on their chip cards. Initially, students will use the card readers already in place in campus libraries to pay for printing. But later on, Cybermark "will distribute smart card readers that attach to personal computers, either selling them for about $10 apiece or finding corporate sponsors to subsidize free distribution of the readers" (Source: "Cybermark offers Web-based smart card services", Card Technology News Bulletin, 14 February 2000).

References

J. Adams, 2000. "Transit triumphs," European Card Review, volume 7, number 2 (March/April), pp. 28-32.

J. Adams and R. Rolfe, 2000. "Can French banks make e-purse pay?" European Card Review, volume 7, number 1 (January/February), pp. 12-16.

M. Alberganti, 1999. "Le Porte-monnaie électronique français s'enlisse dans les expériences," Le Monde (22 November), at ttp://www.lemonde.fr/article/0,2320,seq-2039-31451-MIA,00.html

D. Balaban, 1999. "Out of the blue," Card Technology (October), at http://www.cardtech.faulknergray.com/oct99.htm

E. Baschek, 1999. "Eisbrecher gesucht," HandelsZeitung, number 20 (19 May), p. 5 http://www.smd.ch/cgi-bin/hz/smd_dok.cgi?RA1999052000419

Belgische Vereniging van Banken (BVB), 1999. Achter de schermen van de betaalindustrie (brochure).

D. Birch, 1998. "Purse wars: what does the front line look like?" FT Virtual Finance Report (January), at http://www.live.co.uk/ftvfr298.htm

K. Böhle, M. Rader, and U. Riehm, 1999. Electronic payment systems in European countries: country synthesis report. Institute for Technology Assessment and Systems Analysis, Karlsruhe, (September), at http://www.itas.fzk.de/deu/projekt/pez/emuis.htm

Card Technology, 1999a. "Smart card activity expected to heat up this summer in Canada," Card Technology (28 June), at http://cardtech.faulknergray.com/stor.htm#15

Card Technology, 1999b. "Mondex shifts its strategy to focus on the Internet," Card Technology News Bulletin (22 November), at http://www.cardtech.faulknergray.com/

Card Technology, 2000a. "Amex extends free card reader deadline," Card Technology (4 February), at http://www.cardtech.faulknergray.com/

Card Technology, 2000b. "Low use of e-purse in a high-tech town," Card Technology (March), at http://www.cardtech.faulknergray.com/

CETREL, 2000. "Les Dernières nouvelles de miniCASH: interopérabilité avec l'Allemagne et la France et progression continue sur le plan national," press release (21 March), at http://www.cetrel.lu/rp/rp00_05.htm

A.E. Clark, Jr., 1998. "Chase and Citibank extend joint New York smart card pilot," Journal of Retail Banking Services, volume 20, number 2 (Summer), pp. 47-48.

R. Clarke, 1998. "Europay Switzerland's SVC project," paper (22 May), at http://www.anu.edu.au/people/Roger.Clarke/EC/SVCSwitz.html

Committee on Payment and Settlement Systems (CPSS), 2000. "Survey of electronic money developments," Bank for International Settlements, Basel, Switzerland, (May), at http://www.bis.org/publ/cpss38.pdf

Congressional Budget Office (CBO), 1996. Emerging electronic methods for making retail payments, (June), at http://www.mpls.frb.org/banking/payments/cbo1.html

S. Crocker, 1999. "The Siren song of Internet micropayments," iMP (The Magazine on Information Impacts) (April), at

D. Davis, 2000. "A New day dawns for the electronic purse," Card Technology (January), at http://www.cardtech.faulknergray.com/jan00.htm

G. Deegan, 1999. "Small change in a cashless society," Clare Champion (1 October), at http://www.clarelibrary.ie/eolas/coclare/places/infoage/cashless.htm

Der Spiegel, 1999. "Durchbruch für die Chipkarte?" Der Spiegel (31 May), at http://www.spiegel.de/netzwelt/ebusiness/nf/0,1518,25206,00.html

Deutsche Bundesbank, 1999. "Recent developments in electronic money," Monthly Report (June), pp. 41-57, at http://www.bundesbank.de/en/monatsbericht/bericht06/99/electromoney.htm

A. di Bartolomeo, 2000. "miniCASH - maxi confort," CETREL Voice, number 9 (January), at http://www.cetrel.lu/voice/voice9/page4.htm

C. Dupont, 1999a. "Tours accueille Moneo, un porte-monnaie électronique," Le Journal Informatique (4 November), at http://www.journalinformatique.com/99nov/991104moneo.shtml

C. Dupont, 1999b. "Premiers test en janvier 2000 du boîtier de recharge à domicile du porte-monnaie Moneo," Le Journal Informatique (3 December), at http://www.journalinformatique.com/99dec/991203moneo.shtml

ECR, 1999a. "The Netherlands: purse agreement," European Card Review, volume 6, number 3 (May/June), p. 9.

ECR, 1999b. "On the right tracks," European Card Review, volume 6, number 6 (November/December), pp. 6-8.

ECR, 2000a. "Debit payments on internet," European Card Review, volume 7, number 1 (January/February), p. 38.

ECR, 2000b. "Electronic purse: Danmønt slips," European Card Review, volume 7, number 2 (March/April), p. 8.

Europay Switzerland, 1998. "Positive Bilanz nach einem Jahr CASH - CASH, das elektronische Portemonnaie feiert seinen ersten Geburtstag," press release (29 January), at http://www.multipay.ch/infocenter/press-archive/msg-cash-0198-de.html

European Committee for Banking Standards (ECBS), 1997. Overview of European electronic purse projects 1997, ECBS Technical Report No. 102 (March), http://www.ecbs.org/

ERG, 1998a. "ECARD - The first move towards a smart society," media release (2 April), at http://www.erg.com.au/shareinf/mediarel/mediadisplay.cfm?mediareleaseID=46&DateCategID=46&command=old

ERG, 1998b. "An Australian first - WA launches the nation's first reloadable smart card," media release (30 July), at http://www.erg.com.au/shareinf/mediarel/mediadisplay.cfm?mediareleaseID=39&DateCategID=2&command=old

E. Frey, 1999. "Rasches Wachstum bei Quick," Der Standard (29 November).

E. Frey, 2000. "Plastikgeld statt Euro-Munzen," Der Standard (22 May).

A. Furche and G. Wrightson, 2000. "Why do stored value systems fail?" Netnomics, volume 2, number 1, pp. 37-47.

C. Geffroy, 2000. "Moneo: quels résultats?" Touraine Economique (Le Journal de la Chambre de Commerce et d'Industrie Touraine), number 192 (March), at http://www.touraine-economique.com/192/consom1.html

W. Gentz, 1997. "Die Elektronische Geldbörse in Deutschland: Funktionweise, Kosten und Nutzen für die Beteiligten," Diplomarbeit, Fachhochschule München (November), at http://www.ubkoch.de/

H. Godschalk and S. Schulz, 1999. "Business case für die GeldKarte," In: F. Braatz, U. Brinker, and H.-J. Friederich (editors). Alles über Zahlungsverkehr mit Karten, Neuwied, Kriftel, pp. 361-372, and at http://www.paysys.de/aktuell.htm

B.A. Good, 1998. "Will electronic money be adopted in the United States?" Working Paper 9822, Federal Reserve Bank of Cleveland, at http://www.clev.frb.org/research/workpaper/1998/

Groupement Cartes Bancaires, 1999. Dossier Porte-monnaie Electronique, http://www.gie-cartes-bancaires.fr/html/dossiers/porte.html

Heise, 2000. "Mit der Geldkarte im Ausland einkaufen," Heise Online (14 March), at http://www.heise.de/newsticker/data/ad-14.03.00-000

Interpay, 2000. "Overzicht kerncijfers producten/diensten voor het elektronische toonbankbetalingsverkeer," (March), at http://www.interpay.nl/ws?pg=kern-toon.html

C. James, 1999. "MiniCASH: pioneering role for Luxemburg's electronic purse," Business, number 117 (February), at http://www.cetrel.lu/rp/rp99_10.htm

A. Jiminez and G. Chaves, 1997. "Bills and coins would be things of the past," La Nación (14 October), at http://www.nacion.co.cr/ln_ee/1997/octubre/14/english4.html

R. Jodocy and R.-J. Muth, 1999. "Die Geldkarte auf internationalem Parkett: miniCASH in Luxemburg," Card-Forum, volume 6 (February), and at http://www.cetrel.lu/rp/rp99_11.htm

P. Jones, 1999. "End game," European Card Review, volume 6, number 2 (March/April), pp. 30-32.

T. Kruijt, 1999. "Kleingeldkaart is een flop," Algemeen Dagblad (3 November), and at http://www.ncp.nu/news/knipsels/nov99.html

S. Lelieveldt, 2000. "Issuing e-money in the Netherlands: options for non-banks?" presentation at 3rd Consult Hyperion Digital Money Forum, London, 4-5 April.

S. Lemon, 1998. "Mondex falls short of bank's expectations," Computerworld (Hong Kong) (10 November), and at http://www.cw.com.hk/News/n981110003.htm

M. Lewis, 1998. "Cash rules OK," Computer Weekly (11 June), at http://www.computerweekly.co.uk/cwarchive/features/19980611/cwcontainer.asp?name=F3.html

A. Linkens, 1997. "Un Proton très positif," Banque, number 586 (November), pp. 62-63.

Lux-Post Weekend, 2000. "Ein Jahr high-tech-porte-monnaie in Luxemburg," Lux-Post Weekend, number 9 (29 February), at http://www.cetrel.lu/rp/rp00_02.htm

R.F. Meneses and F. Lourenço, 1996. "Porta Moedas Multibanco - PMB, an evolving electronic purse system," paper, (September).

L.J. Mester, 2000. "The Changing nature of the payments system: Should new players mean new rules?" Business Review, Federal Reserve Bank of Philadelphia (March/April), pp. 3-26, and at http://www.phil.frb.org/files/br/brma00lm.pdf

Mondex Canada, 1997. "Mondex Canada releases most recent results," press release (5 November).

Mondex International, 1998. "Swindon - the birth of an era," Mondex Magazine (September), p. 33.

R. Poynder, 1998. "Today's technology: Understanding e-money and e-commerce," E-Money, volume 1, number 3 (July), pp. 18-21.

C. Price, 1999. "Banks decide on the low-tech option," Financial Times (2 June).

Proton World International (PWI), 1999a. "Proton World shareholder ERG successfully integrates existing smart cards into banking sector," press release (6 April), at http://www.protonworld.com/press/releases/press23.htm

Proton World International (PWI), 1999b. "CASH in Sweden: Case study," brochure, at http://www.protonworld.com/press/downloads/brochures/sweden.pdf

Proton World International (PWI), 2000. "Chipknip in the Netherlands: Case study," brochure (May), at http://www.protonworld.com/press/downloads/brochures/chipknip.pdf

R. Rapaport, 1999. "When Irish IT is smiling," Forbes ASAP (31 May), http://forbes.com/asap/99/0531/114e.htm

R. Rolfe, 1997. "Seoul's contactless electronic purse," European Card Review, volume 4, number 3 (May/June), p. 13.

R. Rolfe, 1998. "Proton's world," European Card Review, volume 5, number 5 (September/October), pp. 12-17.

R. Rolfe, 1999. "Countdown to 2002," European Card Review, volume 6, number 3 (May/June), pp. 16-20.

O. Steeley, 1999. "The Business case for purse," presentation, Cards UK 1999 (13 October), at http://www.hyperion.co.uk/

A. Stockinger, 1997. "Quick-Börse in Wien Trefferquote 10:1," Der Standard (17 November), http://193.154.165.41/archshow.asp?artfn=/archiv/19971117/49.htm

N. Takezaki, 1999. "Mondex in Japan: Can e-money succeed?" Computing Japan, volume 6, number 7 (July), at http://www.cjmag.co.jp/magazine/issues/1999/July99/mondex.html

L. Van Hove, 1997. Het mysterie van het verdwenen geld en de fabel van de 'cashless society': een onderzoek naar de huidige en toekomstige determinanten van de chartale geldomloop (The Currency enigma and the myth of the cashless society: an inquiry into the current and future determinants of the currency circulation), unpublished PhD. dissertation, Free University of Brussels (April).

L. Van Hove, 1999a. "Electronic purses, interoperability, and the Internet," First Monday, volume 4, number 4 (April), at http://firstmonday.org/issues/issue4_4/vanhove/index.html

L. Van Hove, 1999b. "NYC smart card trial: What went wrong?" M&F Working Paper number 99-03 (March), to be published in the International Journal of Electronic Commerce.

L. Van Hove, 1999c. "Electronic money and the network externalities theory: Lessons for real life," Netnomics, volume 1, number 2, pp. 137-171.

L. Van Hove, 1996-2000. "A Selected bibliography on electronic purses," Web site, 1996-2000 http://cfec.vub.ac.be/cfec/purses.htm

C.E. Vargas, 1998. "Moderado uso de tarjeta," La Nación (7 May), at http://www.nacion.com/ln_ee/1998/mayo/07/economia1.html

Washington Post, 1998. "Americans are not crazy about electronic purses," Washington Post (April).

P. Welch, 1999. "Swiss potential," European Card Review, volume 6, number 1 (January/February), pp. 6-10.

P. Welch, 2000. "Portugal consolidates," European Card Review, volume 7, number 1 (January/February), pp. 19-22.

C. Yanancy Noguera, 1998. "Tarjeta inteligente avanza," La Nación (31 August), at http://www.nacion.com/ln_ee/1998/agosto/31/economia3.html


Editorial history

Paper received 11 May 2000; accepted 6 June 2000; revised version received 9 June 2000.


Contents Index

Copyright ©2000, First Monday

Electronic Purses: (Which) Way To Go? by Leo Van Hove
First Monday, volume 5, number 7 (July 2000)
URL: http://firstmonday.org/issues/issue5_7/hove/index.html