![]()
The term digital money refers to various proposed electronic payment mechanisms designed for use by consumers to make retail payments. Digital money products have the potential to replace central bank currency, thereby affecting the money supply. This paper studies the effect of replacing central bank currency on the narrowly defined stock of money under various assumptions regarding regulatory policies and monetary operations of central banks and the reaction of the banking system.
Contents
Introduction
Liquidity Effects
Monetary Policy
Summary
Appendix
Introduction
The potential of digital money to replace currency as the predominant means of paying for retail goods and its ability to flow freely across international borders is attracting much attention among central bankers, the media, and scholars [ 1 ]. There are rumors that central banks would lose control over the monetary aggregates, and, even worse, that digital money would alter foreign exchange rates, disturb money supplies, and encourage an overall financial crisis (Tanaka, 1996). Opinions on this issue could not be more diverse. Ely (1996), for example, suggests that, fundamentally, digital money is no different from all other forms of money that exist today; consequently, the monetary policy implications of digital money are negligible. The proposed electronic payment mechanisms are either based on smart cards or network money. The smart card -- also known as the digital purse -- is a plastic card that has a microprocessor embedded which can be loaded with a monetary value. The card's value is reduced with each purchase. The smart card is reloadable, can be used for multiple purposes, and needs no online authorization for value transfer. The first two characteristics distinguish the smart cards from the single-purpose, prepaid card widely used in Europe. The third characteristic distinguishes it from the debit and credit card. Network money refers to software that allows the transfer of value on computer networks, particularly on the Internet [ 2 ] . Like a travelers check, a digital money balance is a floating claim on a private bank or other financial institution that is not linked to any particular account (White, 1996). A digital money balance on a smart card or computer hard drive is a form of credit because the balance is the liability of its issuer. An institution's incentive to issue digital money is the interest-free or low interest debt financing that the outstanding digital money balance provides. Widespread use of digital money could affect central banks in such areas as monetary policy, banking supervision, supervision of the payment system, and the stability of the financial system. The main concern of central bankers today is the security of digital money [ 3 ]. A security breach -- counterfeiting -- of a digital money product that is widely used could severely disturb the stability of the financial system.Digital money products, designed to substitute central bank currency, could in principal replace the entire stock of central bank currency. Central bank currency is a component in all monetary aggregates; therefore, a change in the demand for central bank currency could affect these aggregates. The largest impact, however, would be on the narrowly defined stock of money, M1, which in most countries consists of central bank currency in circulation, travelers checks in the hands of the public, and demand deposits [ 4 ]. Other monetary aggregates, such as M2 or M3, could also be affected, but because central bank currency has less weight in these aggregates, they would be less affected [ 5 ]. The size of the stock of central bank currency in circulation, the size of demand deposit, and their relative weight, i.e., the (central bank) currency-to-deposit ration are first indicators of the potential effect of a replacement of central bank currency on the narrowly defined stock of money, M1, and are shown in Table 1.Table 1: Currency and demand deposits in 9 nations*
Countries Banknotes and coins in circulation as a percentage of GDP
Deposits as a percentage of GDP
Currency-to-deposit ratio
Belgium 5.2
14.0
0.37
Canada 3.5
4.4
0.80
France 3.4
19.2
0.18
Germany 6.8
16.2
0.42
Italy 5.9
30.7
0.19
Japan 8.8
23.6
0.37
Netherlands 6.3
18.8
0.34
Switzerland 7.8
17.9
0.44
United States 5.2
11.6
0.45
Digital moneyâs impact on M1 will depend on three factors: ( 1 ) the banking systemâs willingness to expand its deposits, ( 2 ) the reserve requirements on digital money balances and demand deposits, and ( 3 ) the particular definition of M1. In addition, the reaction of central banks plays a crucial role because in principal they have the means to offset any change in M1. Section 1 considers the impact of digital money products on M1 when central banks remain passive. Section 2 studies monetary policy options of central banks and Section 3 concludes. *Deposits are the demand or transferable deposits included in the narrow money aggregates (typically M1). Source of data in the first and second columns: BIS (1996b); data are from 1994.
Liquidity Effects
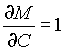
Substitution of central bank currency would affect all monetary aggregates. The largest impact, however, would be on the narrowly defined stock of money, M1. We will, therefore, confine our attention to changes in the narrowly defined money stock (liquidity effects). To simplify the analysis, M1 consists only of central bank currency, C, and transaction deposits, D. For some purposes we also include digital money balances, EM, in the definition of M1. Conversion of central bank currency into digital money balances would affect M1 through two channels. Obviously, a substitution of central bank currency would affect M1 most directly trough a reduction of the stock of central bank currency. A conversion, however, would also change the reserve position of banks and, eventually, the size of deposits, D. This second channel could be of more importance because it potentially has a larger impact on M1. Banks hold reserves for two reasons. ( 1 ) In many countries they are required to hold a percentage of certain types of deposits as reserves. The types of deposit accounts that require the holding of reserves and the reserve ratio differ from country to country. ( 2 ) Banks also hold reserves -- excess reserves -- for settlement purposes to cushion costly daylight and overnight overdrafts. Reserves are either held as vault cash -- central bank currency in the hands of banks -- or as book entries at the central bank [ 6 ]. The liquidity effect of a conversion of central bank currency into digital money balances depends on whether binding reserve requirements are in place. Banks expand their deposits by making loans. When a bank makes a loan this is automatically matched by an equal increase in deposits. Banks are willing to make loans if the marginal return on loans is larger than the marginal costs of deposits. With binding reserve requirements, this condition is met but their reserve position prevents the provision of further loans and, correspondingly, a further expansion of deposits. Thus, with binding reserve requirements, the marginal rate of return on loans is larger that the marginal costs of deposits and banks would be willing to expand their deposits at the prevailing rate of return and costs, respectively. The following analysis, therefore, distinguishes two scenarios. ( 1 ) A set-up with zero or non-binding reserve requirements and ( 2 ) a set-up with binding reserve requirements. Zero or non-binding reserve requirements Let us first consider the liquidity effect of a conversion of one unit of central bank currency into one unit of digital money balances when zero or non-binding reserve requirements are in place. With zero or non-binding reserve requirements, the market for deposits and loans is in equilibrium and the marginal return on loans equals marginal costs of deposits. Banks have some market power, i.e., a bank increasing its supply of loans would marginally reduce the rate of return on loans resulting in a loss [ 7 ]. Thus, at the prevailing rate of return on loans and the prevailing costs of deposits banks are not willing to increase deposits by providing additional loans. The conversion implies that the total amount of currency in circulation, C, decreases by one unit and, at the same time, that the banking systemâs stock of central bank currency (vault cash) increases by one unit. The bank receiving the currency unit can either hold it as vault cash or return it to the central bank thereby increasing its reserves at the central bank by one unit. It is likely that the bank is not willing to hold the unit as vault cash because the rate of return on vault cash is zero while the rate of return on reserves at the central bank is positive because it reduces marginally the probability that the bank has to borrow funds for settlement purposes. Although, banks holding returned currency as vault cash is a rather simplistic story, this assumption, nevertheless, is often used to evaluate the effect of digital money on the money supply. For example, the CBO (1996, p. 42) study on digital money suggests that "if the issuers hold 100 percent cash reserves for balances on stored-value cards [·] the money supply will not change." Since banks are not willing to expand their deposits and the prevailing rate of return on loans and costs of deposits, to affect D substitution of central bank currency must either change the rate of return on loans or the costs of deposits. Since the conversion of currency into digital money balances does not affect the banking systemâs demand for settlement balances (reserves), the increase in the supply of reserves would marginally decrease the interest rate for settlement balances. That is, banks are only willing to hold the additional unit of reserves when the price for settlement balances decreases marginally [ 8 ]. The lower costs of settlement balances decrease the costs of making deposits. Consequently, banks would marginally increase lending and deposit taking. Thus, D would increase unambiguously. The overall effect on M1, however, is not determined because central bank currency, C, would be reduced by one unit. However, because the effect of a conversion on deposits is equivalent to the effect of an expansionary open market operation, it is more likely that the increase in D would offset the decrease in C and, consequently, M1 would increase. [ 9 ] The picture changes slightly if digital money balances are included in the definition of M1. In this case, M1 would increase unambiguously because the reduction in C would be matched by an offsetting increase in EM and D would increase unambiguously. Thus, if electronic money balances are not included in the definition of M1, the change of the narrowly defined stock of money depends on whether the increase in D offsets the decrease in C. If digital money balances are included in the definition of M1, M1 increases unambiguously. A summary of the results is given in Table 2.Table 2: Changes in M1 with non-binding reserve requirements*
* Changes in M1 with no or non-binding reserve requirements. If digital money balances are not included in the definition of M1, M1 would either increase or decrease. The sign of the change would depend on whether the decrease in currency, C, outweighs the increase in deposits, D. If digital money balances are included in the definition of M1, the conversion would lead to a marginal increase of M1 because the decrease in C would be matched by an equal offsetting change in digital money balances, EM, and deposits, D, would increase marginally. Binding reserve requirements In the following analysis binding reserve requirements are in place and banks are willing to make loans and expand their deposits at the prevailing rate of return on loans and costs of deposits. Again, conversion directly affects M1 through a reduction in C and indirectly through a change in the reserve position of the bank receiving the unit of currency. To see how the bankâs reserve position is affected, consider the following example. When a customer hands in a bank note, say one dollar, and at the same time increases the digital dollar balances on his smart card or computer by one dollar the bankâs balance sheet and reserves change as follows. First, it increases the bankâs total amount of vault cash by one dollar and it increases the bankâs liability (the outstanding balance of digital money) by one dollar. Second, the increase in vault cash amounts to a one-dollar increase in the bankâs reserves whereas the increase of the outstanding amount of digital money requires either no additional reserves or -- if there is a 10 percent reserve requirement on digital money -- 90-cent increase in reserves. In either case, the bank has excess reserves, and, if the reserve ratio on deposits is 10%, it has gained the ability to expand its deposits, in the first case by $10 and in the second case by $9. The following analysis, based on the notion of a money multiplier, relies on a simple model of money creation. Money multipliers describe the relation between the various monetary aggregates and the monetary base. The monetary base consists of central bank currency in the hands of the public plus reserves of deposit institutions, i.e., banks. The relation between the monetary base and M1 is described by the following equation: ( 1 )
Definition of M1
Change in M1
![]()
Not determined, increase more likely
![]()
Increase
M is the stock of narrowly defined money (M1), H is the monetary base, and m is the money multiplier. In its simplest form, the money multiplier is derived by using the following relations: ( 2 )
( 3 )
( 4 )
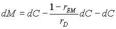
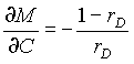
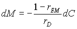
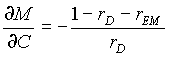
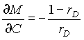
C is currency in the hands of the public, EM are digital money balances, D are demand deposits, R are required reserves, and E are excess reserves. rD is the required reserve ratio on demand deposits and rEM is the required reserve ratio on digital money balances. According to ( 2 ), the stock of narrowly defined money consists of currency holdings, demand deposit and, if included, digital money balances. According to ( 3 ), the monetary base consists of required reserves, currency and excess reserves and, according to ( 4 ), required reserves are reserves on demand deposits and reserves on digital money balances. Banks are willing to provide loans if the marginal return on loans is larger than the marginal cost of deposits. An implicit assumption of the money creation process, i.e., the multiplier model we study here is that this condition is always met [ 10 ]. In this case, banks find it profitable to make loans whenever they have excess reserves. The size of deposit expansion depends on the reserve ratio on demand deposits, rD, and on the reserve ratio on electronic money balances, rEM. The results are presented in Table 3 [ 11.
Table 3: Changes in M1 with binding reserve requirements*
*Changes in M1 when banks expand their deposits as much as possible. The effect on M1 depends on the reserve requirements on digital money balances and the reserve requirements on deposits. The first row of Table 3 describes changes in M1 when digital money balances are not included in the definition of the narrowly defined stock of money. Change in M1 depends on the reserve requirements on digital money balances, rEM. If
Definition of M1
![]()
![]()
![]()
![]()
![]()
![]()
![]()
![]()
![]()
![]()
![]()
![]()
, M1 increases. If
, a conversion of central bank currency into digital money balances is neutral, it does not change M1. For large reserve requirements, if
, the narrowly defined stock of money decreases. For example, if
, the stock of narrowly defined money decreases by one unit. Change in M1 depends also on the reserve requirements on deposits, rD. The larger rD, the smaller is the change in M1. The second row of Table 3 describes changes in M1 when digital money balances are included in the definition of the narrowly defined stock of money. In this case, the stock of narrowly defined money increases if the reserve requirements are not equal to one. If
, a conversion of central bank currency into digital money balances is neutral. Again, the larger the reserve requirements on deposits, rD, the smaller is the change in M1. A final note is required, here. The results of Table 3 implicitly assume that demand deposits and, if so, electronic money balances are the only reservable liabilities of banks. If other liabilities were subject to reserve requirements, some of the excess reserves created by the substitution of central bank currency would be used to expand these other types of liabilities. This would reduce the potential of expansion of M1 and change the derivatives in Table 3.
Monetary Policy
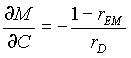
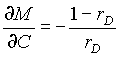
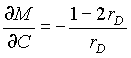
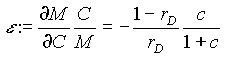
Section 1 suggests that a conversion of central bank currency into digital money balances would increase bank reserves and, consequently, also the narrowly defined stock of money. If banks were to use the additional reserves to expand demand deposits, it is likely that central banks would not remain passive. Rather, they would take measures to control the expansion of the narrow stock of money. Central bank activity is likely because, in particular with binding reserve requirements, the potential increase of the narrow stock of money is nontrivial. To see this, consider the potential change in M1 when electronic money balances are not included in the definition of M1 and when there are no reserve requirements on electronic money balances. The respective derivative is. The elasticity of M1 is given by ( 5 )
where c is the currency-to-deposit ratio. The smaller the reserve requirements on demand deposits, rD, and the larger the currency-to-deposit ratio is, the larger is the elasticity of M1. A textbook interpretation of
is that it measures the percentage change in M1 when the stock of central bank currency changes by one percent. For the U.S., for example, which has 10 percent reserve requirements on demand deposits and a currency-to-deposit ratio of 0.45 the elasticity of M1 is 2.8. Thus, with binding reserve requirements, a substitution of one-percent of the stock of central bank currency would increase the narrowly defined stock of money by 2.79 percent. Table 4 includes estimates of the potential increase of the narrowly defined stock of money for a number of countries when 1 percent of central bank currency is converted into digital money balances.
Table 4: Potential increase in M1 with conversion of digital money*
Countries
Currency to deposit ratio c
Reserve ratio on transaction and sight deposits as of mid 1996**
Percentage increase of M1 when one-percent of the stock of central bank currency is converted in digital money balances
France
0.18
1%
15
Germany
0.42
2%
14.5
Italy
0.19
15%
0.9
Japan
0.37
1.3%***
20.5
Switzerland
0.44
2.5%
12
United States
0.45
10%***
2.8
The estimates in the third column provide an upper limit of possible expansion of the narrowly defined stock of money. The larger the (central bank) currency-to-deposit ratio, c, and the smaller the reserve ratio, rD, the larger is the potential expansion of M1. Recall that these results are derived under the assumption that the reserve requirements are binding. The small reserve ratios in most of these countries, however, indicate that the reserve requirements are not binding and, therefore, the expected increase in M1 would be smaller. In the remaining of this paper we consider the measures that central banks can take to prevent potential changes in M1. They have four: *Assumptions: ( 1 ) Each unit of currency replaced is held as digital money balance, ( 2 ) digital money balances are not included in the definition of M1, ( 3 ) digital money balances require no reserves, ( 4 ) the banking system fully expands deposits, ( 5 ) reserve requirement on transaction deposits are binding, ( 6 ) and there are no other reservable liabilities of banks. Source of data in column 1: see Table 1. ** See Borio (1997, p. 69) ***The ratio varies with the size of the corresponding liability category. Legal restrictions to prevent the proliferation of digital money products will be difficult to justify, especially in light of efforts to deregulate and improve the efficiency of the financial sector. It is well known that central bank currency is an expensive medium of exchange. For example, the estimated annual costs of U.S. retailers and banks to handle money is $60 billion, which includes costs associated with processing and accounting of money, storage, transport, and security (Hayes et al. 1996). Digital money products also offer substantial cost savings compared with paper checks. Humphrey et al. (1996) suggest that the cost of an electronic payment ranges between one-third to one-half of a check or paper giro payment. Moreover, measures that prevent development of digital money product will result in a competitive disadvantage. Nations that will develop these products will thereby take a lead in a crucial technological sector. In addition, digital money easily crosses international borders and it will be difficult to control foreign digital money products that could eventually emerge as a medium of exchange in the home country. Central banks could provide digital money in the same way as they provide paper currency right now. The Bank of Finland, for example, is developing a cash-card system through its corporate subsidiary, Avant Finland Ltd. (Bernkopf, 1996). Most central banks, however, remain passive in this respect. There is concern that central banks issuing digital money products could limit competition and reduce incentives in the private sector to innovate further digital money products (BIS, 1996b). Central banks could require reserves on digital money balances. High reserve requirements can make digital money products neutral with respect to changes of the narrowly defined stock of money. However, since the main incentive to issue digital money products is the interest-free debt financing that digital money balances provide, high reserve requirements will make it less profitable to issue digital money and will hold back its development. The drawback of the first three measures is that they reduce the private sectorâs incentive to invest in the development of digital money products. It is, therefore, likely that central banks will hold the money supply constant by appropriate monetary operations. If digital money balances are included in the definition of M1, then for every dollar of central bank currency replaced by digital money, central banks would have to sell one dollarâs worth of assets. For example, the U.S. Federal Reserve System would be required to sell one dollar of U.S. Government securities for each dollar of currency converted into digital money balances. If digital money balances are not included, then -- assuming a reserve ratio on demand deposits of 10 percent -- it would have to sell 0.9 dollar of assets. These reserve-absorbing open market operations would come at the cost of a steadily shrinking monetary base. There is concern that replacement of central bank currency would reduce the monetary base to the extent that it could adversely affect monetary policy implementation. This concern has been raised by BIS (1996b):
- They can limit the proliferation of digital money products to prevent the replacement of central bank currency.
- They can issue digital money products and treat digital money balances in the same way as they do central bank currency.
- They can apply high reserve requirements on digital money balances.
- They can absorb -- sterilize -- the excess liquidity created by appropriate monetary operations.
Since cash is a large or the largest component of central bank liabilities in many countries, a very extensive spread of e-money could shrink central bank balance sheets significantly. The issue is at what point this shrinkage might begin to adversely affect monetary policy implementation. The relatively modest size of open market operations on normal days suggests that a relatively small balance sheet might be sufficient. However, special circumstances could arise in which the central bank might not be able to implement reserve-absorbing operations on a large enough scale (for example, to sterilize the effects of large purchases in the foreign exchange markets) because it lacked sufficient assets on its balance sheet.
Summary
Eventually, digital money is expected to replace central bank currency, thereby affecting the narrowly defined stock of money. This paper suggests that a conversion of central bank currency into digital money balances would permanently increase the supply of bank reserves and, therefore, the effect on the narrowly defined stock of money would be equivalent to an open market operation that provides permanent additional reserves to the banking system. The precise change of the narrow defined stock of money would depend on the institutional arrangements prevailing in a country, in particular, whether binding reserve requirements are in place. If reserve requirements were non-binding and if electronic money balances were not included in the definition of the narrow stock of money, the stock of money could either increase or decrease. However, since a conversion is equivalent to an expansionary open market operation, it is more likely that the stock of money would increase. If digital money balances were included in the narrowly defined stock of money, it would increase unambiguously. If reserve requirements were binding, the stock of narrowly defined money would increase. Reserve requirements on digital money balances would reduce the increase and if digital money were included in the definition, the increase would be larger. Thus, a conversion of central bank currency into digital money balances would most likely increase the narrowly defined stock of money. The liquidity creation could be so large that central banks could be forced to step in to absorb the excess liquidity by selling assets. Liquidity absorbing monetary operation could shrink the monetary base to the extent that it could adversely affect monetary policy implementation. To avoid erosion of the monetary base, central banks could be tempted to resort to alternative measures to curb the expansion of the narrowly defined stock of money. They could limit the proliferation of digital money products. They could issue digital money product themselves or they could apply high reserve requirements on digital money balances. The drawback of these measures is that they would reduce the private sectorâs incentives to invest in the development of digital money products.Appendix
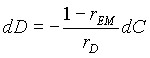
Derivation of derivatives with binding reserve requirements Digital money is not included in the definition of M1. Totally differentiate ( 2 ) to get. An increase in vault cash, VC, can either be used to expand deposits, D, digital money balances, EM, or it adds to excess reserves, E:
. Because
, which implies that
. By assumption,
and
, which implies that
.
Hence,
Digital money is included in the definition of M1. Totally differentiate ( 2 ) to getand
.
.
Again
. By assumption
,
, which implies that
and
.
Notes
1. I would like to thank Winand Emons, Yvan Lengwiler, Heidi Seney, and Kevin Siegel for helpful suggestions and the Swiss National Science Foundation for financial support.2. For an extended definition and characterization of digital money see BIS (1996a, 1996b), Stuber (1996), or CBO (1996). Literature on digital money has created many other expressions such as e-money, electronic money, network money, digital currency, electronic currency, digital cash, e-cash, etc.
3. The security of digital money has been the center of focus of central bankers. In November 1995, the central bank governors of the Group of Ten (G-10) countries commissioned studies on the security of digital money products. They published their results in BIS (1996a).
4. In the United States, M1 consists of currency held by the public, travelers checks, demand deposits, including NOW (negotiable order of withdrawal) and ATS (automatic transfer service) account balances and ahare draft account balances at credit unions (BoG, 1994).
5. The definitions of these aggregates differ from country to country. In the United States, for example, M2 consists of M1, certain overnight repurchase agreements, Eurodollars, saving deposits (including money market deposit accounts), time deposits in amounts less than $100,000, and balances in money market mutual funds (other than those restricted to institutional investors). M3 consists of M2, time deposits of $100,000 or more, certain term Eurodollars, and balances in money market mutual funds restricted to institutional investors (BoG, 1994).
6. The types of liquid assets that are counted as reserves differ from country to country. For a detailed description of the institutional differences in a number of institutional countries, consider Borio (1997).
7. In many models of the banking firm deposit rates are a function of the deposit level. That is, it is assumed that banks have some market power and their actions affect the price in the deposit market. For a discussion of this assumption and a survey banking firm models, consider Baltensperger (1980).
8. On the market for researves, banks trade reserves to meet reserve requirements and to adjust their settlement balances. The price for these reserves, in the U. S. the Federal Funds rate, is the primary interest rate that central banks influence through their monetary instruments. The substitution of central bank currency increases the total supply of reserves in the economy. Since the demand for these reserves hasn't changed, the price for these reserves must fall.
9. In principal, substitution of central bank currency is equivalent to an expansionary open market operation because both events increase the supply of reserves. Thus, the effect of these two events on the size of deposits must be equivalent. Effectiveness of monetary operations relies on the assumption that a change in reserves results in a multiple change in deposits.
10. The multiplier model we study, therefore, implicitly assumes interest rate rigidity. That is, an increase in the supply of loans or an expansion of deposits does not affact the rate of return on loans or the costs of making deposits. One explanation for this price rigidity would be interest-rate ceilings of the "regulation Q" type seen until quite recently in the U. S. (Spencer, 1986).
11. The derivations of the derivatives are in the appendix.
References
M. Bernkopf, 1996. "Electronic Cash and Monetary Policy," First Monday, Volume 1, Number 1 (May), at http://www.firstmonday.org/issues/issue1/ecash/.BIS, 1996a. Security of Digital Money. Basel: Bank of International Settlements.
BIS, 1996b. Implications for Central Banks of the Development of Digital Money. Basel: Bank of International Settlements.
Board of Governors (BoG) of the Federal Reserve System, 1994. The Federal Reserve System: Purpose & Functions. Washington, D. C.: Federal Reserve System.
C. Borio, 1997. Monetary Policy Operating Procedures in Industrial Countries. Working Papers No. 40. Basel: Bank for International Settlements.
F. X. Browne and D. Cronin, 1995. "Payments Technologies, Financial Innovation and Laissez-Faire Banking," Cato Journal, Volume 15, Number 1, pp. 101-116.
CBO, 1996. Emerging Digital Methods for Making Retail Payments. Washington, D. C.: the Congress of the United States Budget Office.
B. Ely, 1996. "Digital Money and Monetary Policy: Separating Facts from Fiction," In: The Future of Money in the Information Age. Cato Institute's 14th Annual Monetary Conference, at http://www.cato.org/moneyconf/
Hayes et al., 1996. "An Introduction to Digital Money Issues," prepared for the United States Department of the Treasury Conference "Towards Digital Money and Banking: The Role of Governments," Washington, D. C.: U. S. Dept. of the Treasury.
D. Humphrey, L. Pulley and J. Vesala, 1996. "Cash, Paper, and Electronic Payments: A Cross-Country Analysis," Journal of Money, Credit, and Banking, Volume 28, Number 4 (November 1996, Part 2), pp. 914-39.
G. A. Selgin and L. G. White, 1994. "How Would the Invisible Hand Handle Money?," Journal of Economic Literature, Volume 32 (December): pp. 1718-1749.
P. Spencer, 1986. Financial Innovation, Efficiency, and Disequilibrium: Problems of Monetary Management in the United Kingdom 1971-1981. Oxford: Clarendon Press.
G. Stuber, 1996. The Digital Purse: An Overview over Recent Developments and Policy Issues. Ottawa: Bank of Canada.
T. Tanaka, 1996. "Possible Consequences of Digital Cash," First Monday, Volume 1, Number 2 (August), at http://www.firstmonday.org/issues/issue2/digital_cash/
L. White, 1996. "The Technology Revolution and Monetary Evolution," In: The Future of Money in the Information Age. Cato Institute's 14th Annual Monetary Conference, at http://www.cato.org/moneyconf/
![]()
The Author
Aleksander Berentsen is a Visiting Scholar at the Department of Economics at the University of California, Berkeley.URL: http://www-vwi.unibe.ch /staff/berentsen/aleks.htm e-mail: aleksander_berentsen@bigfoot.com
![]()
![]()
Copyright © 1997, ¡ ® s - m ¤ ñ d @ ¥