First Monday

Beyond markets and firms: The emergence of Open Source networks by Federico Iannacci and Eve Mitleton-Kelly


Abstract

Although hierarchies and markets (i.e., autonomy) have been subject to extensive study, heterarchies represent different modalities of organizing that have been little researched. Drawing on complexity theory and the main features of complex evolving systems (CES), this paper sets out to remedy this imbalance by showing that heterarchies feature highly decentralized and relatively stable interactions which are coordinated through an emergent process of parametric adaptation. Implications in terms of learning are discussed casting a new light on the delicate issue of motivation in Open Source software development.

 

Contents

Introduction
Complex evolving systems
Linux case study
Heterarchies and coordination processes
Conclusions

 


 

++++++++++

Introduction

Complexity theory may be thought of as a conceptual framework that helps us understand the nature of the world and the organizations we live in (Mitleton–Kelly, 2003). It encompasses several theories emerging from the natural and social sciences such as biology, chemistry, mathematics, economics, and sociology, to name but a few.

Although the number of theories falling under the complexity umbrella is quite large, complexity theory can be divided into five main areas, namely: a) complex adaptive systems as studied at SFI and Europe; b) dissipative structures as studied by Ilya Prigogine and his co–authors; c) autopoiesis based on the work of Maturana in biology and its applications to social systems by Luhmann; d) chaos theory; and, e) increasing returns or path dependence as studied by Brian Arthur and other economists (Mitleton–Kelly, 2003).

Despite the large number of theories and publications in the field, the issues pertaining to heterarchies (i.e., nested hierarchies) are still poorly understood to the point that very little research has been done in terms of quality of interactions let alone coordination within heterarchies. To remedy this imbalance, this paper makes use of key descriptive devices borrowed from complexity theory to show that heterarchies feature highly decentralized and yet relatively stable interactions which are coordinated through an emergent process of parametric adaptation.

To better spell out this logic, the remainder of this paper unfolds in the following fashion: section two introduces the concept of complex evolving systems (CES) and their main characteristics; section three conducts an in–depth qualitative analysis of Linux to depict its social structure and introduce the concepts of loose coupling and heterarchy; section four discusses the issue of coordination within heterarchies by arguing that coordination is the by–product of ordinary decisions undertaken in the pursuit of local interests; finally, section five summarizes the main implications deriving from our argument. Comparisons with firms and markets run in the background of the paper.

 

++++++++++

Complex evolving systems

Broadly speaking, complex evolving systems (CES) are systems that co–evolve with their environment so that the evolution of one system is partially dependent on the evolution of other related systems within the larger ecosystem. Although the environment does not determine change, it does trigger change which is filtered by the system itself in accordance with the degree of connectivity or interdependence between its parts or elements (Maturana and Varela, 1992). The system itself influences its social ecosystem, thus engendering a situation of mutual influence or co–evolution. Co–evolution operates at different scales and, in a social context, it applies to individuals and groups within the organization, as well as to organizations co–evolving with their broader social ecosystem. Besides co–evolution, CES exhibit the following characteristics:

a) Connectivity or interdependence:
Connectivity applies to the interrelatedness of elements within a system, as well as to the relatedness between systems. Connectivity is inextricably bound up with interdependence considering that the higher the degree of connectivity between elements or subsystems, the larger their interdependence. Complexity theory explicitly addresses the question of how much interconnection is desirable by analyzing the properties of systems with a large number of interdependent or interconnected parts (Carroll and Burton, 2000; Kuwabara, 2000). One of its most intriguing findings is that the most adaptive systems exist at a poised state between too little and too much interconnection that, broadly speaking, is referred to as the "edge of chaos" (Carroll and Burton, 2000). Accordingly, systems that feature a low degree of interconnectedness are too static, while systems that are overly connected are inherently unstable. Such systems have also been modeled in so–called NK models where N stands for the number of elements in the system and K for their degree of interdependence (Kauffman, 1993). It has been shown that when the degree of interdependence between the elements in the system is too high (as K → N), the system is too disordered since minor changes or perturbations stemming from the environment rapidly diffuse through the entire system, thus leading to constant instability, as well as interaction catastrophe. Conversely, when the elements exhibit too little interconnection (as K → 0), they tend to be relatively isolated so that any change or perturbation in a single element will affect few, if any, other elements. This state, therefore, leads to too much stability because the system is locked into one or very few patterns of behavior. Loose coupling is similar to a relatively low K condition, where there is functional semi–autonomy between subsystems which are less richly interconnected than fully joined systems [ 1];

b) Self–organization or emergence:
Another key characteristic of all CES is represented by self–organization or emergence. External constraints or perturbations trigger changes that, depending on the degree of internal connectivity, are likely to create a higher–level system with new order and structure emerging spontaneously from the interaction of individual elements. Put differently, CES exhibit self–organizing behavior whereby, starting from a random state created by any perturbations, they usually evolve toward order rather than disorder (Anderson, 1999). This very same evolutionary process is also labeled emergence to underscore the process whereby new order happens. While in systems theory emergence is related to the concept of "whole" — i.e., that a system needs to be seen as an interacting whole rather than as an assembly of distinct and separate parts — some biologists see emergence as the transition from local rules or principles of interaction between individual components or agents to global principles encompassing the entire collection of agents [ 2]. Ilya Prigogine, who was awarded the 1977 Nobel Prize for chemistry, has reinterpreted the Second Law of Thermodynamics claiming that "under certain conditions, entropy itself becomes the progenitor of order" [3];

c) Exploration of the space of possibilities:
Whenever external constraints or perturbations trigger change, the homogeneity of a current order is broken so that the system is pushed to search its space of possibilities for new order. It is worth stressing that this process of exploration is a major source of innovation and diversification because it represents a move away from established patterns of work and behavior. Far from being a costless process, searching the space of possibilities often leads to new solutions which might be antithetical to established ways of organizing, thus propelling a trade off between exploitation of past routines and exploration of alternative sources of future viability (March, 1991; Levinthal, 1997). March [ 4], for instance, maintains that

"[a] central concern of studies of adaptive processes is the relation between the exploration of new possibilities and the exploitation of old certainties ... Exploration includes things captured by terms such as search, variation, risk taking, experimentation, play, flexibility, discovery, innovation. Exploitation includes such things as refinement, choice, production, efficiency, selection, implementation, execution. Adaptive systems that engage in exploration to the exclusion of exploitation are likely to find that they suffer the costs of experimentation without gaining many of its benefits. They exhibit too many undeveloped new ideas and too little distinctive competence. Conversely, systems that engage in exploitation to the exclusion of exploration are likely to find themselves trapped in suboptimal stable equilibria. As a result, maintaining an appropriate balance between exploration and exploitation is a primary factor in system survival and prosperity";

Feedback processes:
CES feature complex feedback processes between their parts. In human systems, the degree of connectivity (dependency or epistatic interaction — i.e., the extent to which the fitness contribution made by one individual depends on related individuals) often determines the strength of feedback. When applied to human interactions, feedback means influence that changes potential action and behavior. Furthermore, in human interaction feedback is rarely a straightforward input–process–output procedure with perfectly predictable and determined outputs. Actions and behaviors may vary according to their degree of connectivity between different individuals, as well as with time and context (Mitleton–Kelly, 2003). Despite the serious possibility that multi–level, multi–process, non–linear influences should be acknowledged, complexity scholars mostly contemplate only two typologies of feedback, namely positive or deviation–amplifying and negative or deviation–counteracting feedback. The former is also labeled as self–reinforcing feedback, while the latter as self–stabilizing feedback. Self–reinforcing feedback is path dependent and locked into previous states or paths considering that the specific paths that a system may follow depend on its past history [ 5], although there may be several possible evolutionary paths in the space of possibilities.

Ultimately, this brief and by no means comprehensive analysis of the main characteristics of CES shows that complexity theory provides scholars with a general framework that can be used to understand different organizational forms, as well as modalities of organizing. By drawing on the pivotal concepts of connectivity and emergence, this paper takes heterarchy as a paradigmatic example to be contrasted to and compared with other modalities of organizing, namely autonomy (i.e., market) and hierarchy (i.e., firm) so as to cast a new light on the quality of interactions and the various coordination processes that are ubiquitous to different organizational forms.

 

++++++++++

Linux case study

Linux is a Unix–like operating system started by Linus Torvalds in 1991 as a private research project. In the early history of the project Torvalds wrote most of the code himself. After a few months of work he managed to create a reasonably useful and stable version of the program and, therefore, decided to post it on a Usenet newsgroup to get a great number of individuals to contribute to the project [ 6]. Between 1991 and 1994 the project size burgeoned to the point that in 1994 Linux was officially released as version 1.0. It is now available for free; it is constantly being revised and improved in parallel by an increasing number of volunteers (Kollock, 1999).

Although the Linux development process is not random (Axelrod and Cohen, 1999; Tuomi, 2002; Muffatto and Faldani, 2003), practitioners ascribe the chaotic nature of the project to its early release cycles, its independent peer review process and its parallel development (Raymond, 1999). This logic, in turn, triggers a challenging question: if the Linux development process seems to emerge out of a "succession of miracles" [ 7], how do programmers go about organizing their activities so as to act collectively?

Based on an in–depth qualitative investigation of Linux mailing lists, we submit that a heterarchy has spontaneously emerged from the developers’ interactions featuring hierarchies nested within larger hierarchies [ 8]. To exemplify this point, consider the following comment posted on the Linux kernel mailing list (LKML) by Linus Torvalds, the chief maintainer, in response to Rob Landley’s suggestion to create a "patch penguin" to filter incoming software features to Torvalds himself:

"Some thinking, for one thing. One ‘patch penguin’ scales no better than I do. In fact, I will claim that most of them scale a whole lot worse. The fact is, we’ve had ‘patch penguins’ pretty much forever, and they are called subsystem maintainers. They maintain their own subsystem, i.e., people like David Miller (networking), Kai Germaschewski (ISDN), Greg KH (USB), Ben Collins (firewire), Al Viro (VFS), Andrew Morton (ext3), Ingo Molnar (scheduler), Jeff Garzik (network drivers) etc., etc. ... A word of warning: good maintainers are hard to find. Getting more of them helps, but at some point it can actually be more useful to help the _existing_ ones. I’ve got about ten–twenty people I really trust, and quite frankly, the way people work is hardcoded in our DNA. Nobody ‘really trusts’ hundreds of people. The way to make these things scale out more is to increase the network of trust not by trying to push it on me, but by making it more of a _network_, not a star–topology around me. In short: don’t try to come up with a ‘patch penguin’. Instead try to help existing maintainers, or maybe help grow new ones. THAT is the way to scalability" [ 9].

Although Landley was pushing for an artificial design intervention aimed at institutionalizing a new figure in the Linux development process, namely the "Patch Penguin," Torvalds’ remarks eloquently stress that the only way to make the network scale is to work with a limited number of individuals who, in turn, work with their own trusted circles. The upshot of this process is a different way of organizing activities that resembles a heterarchy rather than a hierarchy, as illustrated below:

 

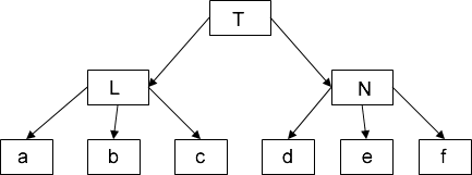
Figure 1: Linux social structure
Figure 1: Linux social structure.
Legend: T=Torvalds; TL=Trusted Lieutenant; CM=Credited Maintainer; D/U= Developer/User.

 

What are heterarchies? Heterarchies are nested hierarchies (Jen, 2002) where the concept of hierarchy does not mean official channels or chains of command from the top down [ 10]; "[i]nstead, in this context, hierarchy means only that subsystems can differentiate into further subsystems and that a transitive relation of containment within containment emerges" [ 11]. Put differently, heterarchies can be conceptualized as loosely coupled systems considering that, since each system is a part of the whole, as well as being a whole in its own right [ 12], we can envisage an ensemble of systems where the coupling between systems is weak or loose because the interactions between systems are less direct and less frequent (i.e., lower K) than those within systems [13].

Another way to grasp this idea is to think of loosely coupled systems as less richly connected networks where perturbations are slow to spread and/or weak while spreading (Weick, 1976). As Figure 2 shows, they exhibit weak ties between their subsystems and strong ties within them [ 14]:

 

Figure 2: Heterarchies as loosely coupled systems
Figure 2: Heterarchies as loosely coupled systems.
Legend: T=Torvalds; TL=Trusted Lieutenant; CM=Credited Maintainer; D/U= Developer/User.

 

Despite the trade off between exploration and exploitation (March, 1991; Levinthal, 1997), loosely coupled systems are viable alternatives to such a trade off because they are able to search the space of possibilities through localized adaptations while maintaining local stabilities which ignore limited perturbations elsewhere in the system (Glassman, 1973). Loosely coupled systems like heterarchies feature a relatively low degree of interdependence or connectivity between their subsystems (i.e., relatively low K). Interdependence or connectivity, in addition, is a variable rather than a constant in these systems because the degree of coupling between their parts tends to change over time. Compared with hierarchies, heterarchies feature more decentralized interactions where the various actors adapt to each other in a parametric fashion [ 15]. Contrasted to markets (i.e., autonomy), heterarchies feature relatively more stable interactions considering that, normally, individuals interact with the same number of interactants (i.e., developers belonging to their subsystem) rather than any buyers or sellers. This, in turn, implies that interactions within networks, as well as firms, are more frequent, more consistent (i.e., less substitutable) and more predictable than those characterizing spot markets.

Table 1 below summarizes these ideas while highlighting the coordination processes (March and Simon, 1958; Thompson, 1967) typical of each organizational form:

 

Table 1: A comparison of organizational forms and modalities of organizing.

Organizational form
Firm
Network
Market
Modality of organizing
Hierarchy Heterarchy Autonomy
Quality of interactions
Stable and centralized Relatively stable and decentralized Transient and decentralized
Coordination processes
Coordination by plan/authority Coordination by parametric/mutual adjustment Coordination by standardization/price mechanism

 

Notice that we have purposely placed networks in the center of the table because we want to convey the idea that networks are either meta–forms or organizational forms lying between markets and firms. Having clarified these preliminary ideas, we need to ask: how does coordination take place within heterarchies? The following section takes up this challenging question.

 

++++++++++

Heterarchies and coordination processes

If heterarchy is a different modality of organizing as opposed to hierarchy and autonomy, how do people go about coordinating their activities within it? Social theorists have clearly identified two coordination patterns characterizing firms and markets, namely authority and the price mechanism [ 16]. What about networks?

We submit that heterarchies operate in accordance with the principle of emergence or self–organization insofar as coordination is the by–product of ordinary decisions undertaken in the pursuit of local interests (Lindblom, 1965; Warglien and Masuch, 1996). Put differently, networks feature a large number of interdependent decision makers where each decision maker adapts to prior decisions in a parametric fashion. Each decision maker considers prior decisions to which it is worth adapting if, and only if, by so doing, the decision maker is better off.

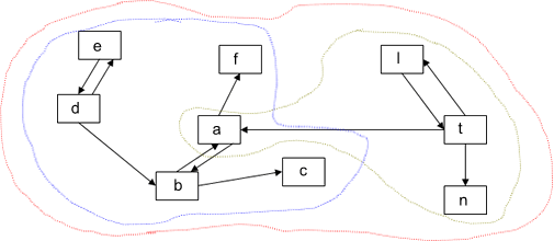
To exemplify, consider a situation where subordinates comply with a set of decisions defined by their supervisors. Compare this scenario with a situation where the same individuals adapt their decisions to each other in a spontaneous fashion. Diagrammatically, these two situations are illustrated as follows:

 

Figure 3: Use of a dissection simulation by a single student
Figure 3: Centrally regulated complex decision making.
Adapted from Lindblom (1965).

 

 

Figure 4: Use of a dissection simulation by a single student
Figure 4: Complex decision making through mutual adjustment.
Adapted from Lindblom (1965).

 

(1) Each letter indicates a decision maker.

(2)x to y means that decisions by y are adjusted to decisions by x.

Notice that in Figure 4, decision making through mutual adjustment, the relations can be either symmetric — such as a, b – d, e – t, l — or asymmetric — such as a, f – b, c – d, b – t, a – t, n — the former qualifying mutual reciprocity, the latter lack of reciprocity or symmetry. According to our definition, both states of affairs feature coordination. In the former we witness a centralized form of coordination characterized by tightly coupled ends and means where individuals acknowledge the supervisory role of their managers and adapt to their decisions (i.e., goals). In the latter we observe a decentralized coordination process where adaptation is triggered by the pursuit of localized or partisan interests. The crucial point of this logic is that,

"[f]or centrally coordinated decisions one can distinguish between decisions to be coordinated, on the one hand, and the coordinating decisions, on the other; hence one might study coordination processes as distinct from decision processes taken generally. For partisan mutual adjustments, however, every decision is itself part of the coordinating process; there exists no separate set of coordinating decisions" [ 17].

But how does this logic apply to coordination in the Open Source setting?

Consider, for instance, the release of new versions of the source code in the Linux development process. Developers, regardless of their role, adapt to Torvalds’ releases in the pursuit of their own interests, given that only a small group of developers are interested in the latest kernel features and are going to download the latest releases. This, in turn, implies that coordination is the by–product of ordinary decisions rather than centralized coordinating decisions. Thus, coordination is a process of parametric adaptation (Lindblom, 1965; Warglien and Masuch, 1996) which is bound to emerge spontaneously from the pursuit of local interests. Torvalds’ own comments help clarify the highly decentralized nature of coordination within heterarchies:

"... You see that as a sorry statement, but I don’t think it’s a failure. Why _should_ one tree have to try to make everybody happy? We want to try to make it easier to keep the couplings in place by striving for portable infrastructure etc, but we would only be hampered by a philosophy that says ‘everything has to work in tree X’, since that just means that you can"t afford to break things.

I’d much rather keep the freedom to break stuff, and have many separate trees that break _different_ things, and let them all co–exist in a friendly rivalry.

And my tree is just one tree in that forest.

So it’s not a bug — it’s a FEATURE!" [18].

Not only can developers download Torvalds’ latest releases in accordance with their own interests and skills; they can even start their own release cycles which co–evolve with Torvalds’ releases in a "friendly rivalry" [ 19]. Axelrod and Cohen (1999) argue, at this purpose, that

"[f]rom a Complex Adaptive Systems point of view, the possibility for volunteers to create working variants increases massively the variety of the population of operating systems. In successful open source cases such as Linux, that variety has been harnessed to yield a very effective result, although many observers expected chaos to result from the rapid injection of many potentially incompatible variants" [ 20].

This host of software variants, additionally, spurs long–term adaptability through better search of the space of possibilities (Stark, 2001; Iannacci, 2003). Moreover, multiple, non–linear feedback processes seem to operate simultaneously considering that "every contributor of a proposed variant can make a completely functional new version that can be tested locally" [ 21] and made available globally by means of mailing lists functioning as feedback channels.

The logic of parametric adaptive adjustments is further corroborated by the "network of people" approach modality of organizing. McVoy of BitMover — the business producing the versioning tool BitKeeper (BK) — has aptly described the interaction flows characterizing the Linux development process by arguing that this process is a:

"... kind of a star [shape], with Linus in the center, surrounded by a ring of lieutenants, and these lieutenants surrounded by a ring of flunkies, may be the flunkies surrounded by a ring of flunkies’ flunkies, but the flow of the information is through this star, and there are filters. So that you end up with Linus getting stuff that most of the time he doesn’t have to work on very hard, because somebody he trusts has already filtered it" [ 22].

In other words, when developers intend to implant new features in forthcoming releases, they do not send their patches to Torvalds directly. Instead, they interact with their credited maintainers who, in turn, forward their patches to trusted lieutenants who eventually send them to Torvalds. Once again a process of parametric adaptation spontaneously emerges without any need to resort to centralized decisions. Individuals adjust to prior decisions in pursuit of local interests. Put differently, not only is it in the interest of local developers to see their patches in forthcoming releases; credited maintainers, trusted lieutenants, as well as the project leader himself, are interested in adapting to decisions made by lower–level developers to preserve their network of trust. Moreover, heterarchy itself seems to be a system–level property which is the by–product of these structured interactions between and among developers. Far from being a property of single elements or components, we contend that heterarchy is an emergent structure of the social system fabric.

Consider, finally, what happens when developers post new features or bugs on the mailing lists: a mutual equivalence structure (Weick, 1979) emerges based on the norm of generalized reciprocity (Iannacci, 2003; Lanzara and Morner, 2003; Weber, 2004) due to the "expectation of future benefit but just what the benefit will be and whether it will actually ever be forthcoming are uncertain" [ 23]. Mutual equivalence structures, in other words, are based on mutual prediction rather than mutual sharing because people are willing to contribute their time and skills in the expectation of future benefit. Contributions will take place in those areas where contributors have specialized knowledge and/or a vested interest so as to nurture their knowledge and/or interests. Heterarchies, therefore, are much more learning–oriented than hierarchies because people can make decentralized decisions in the pursuit of their own interests and skills. These individsual decisions cannot be made within a hierarchical structure where subordinates are constrained by decisions of leaders [24].

 

++++++++++

Conclusions

This paper examined the quality of interactions, as well as the coordination processes, characterizing different organizational forms. By taking heterarchy as a paradigmatic example, it argues that connectivity features different traits within three stereotypical organizational forms, namely stability and centralization (firms), relative stability and decentralization (networks) and transience and decentralization (spot markets).

Considering literature on firms and markets, the paper subsequently focuses on studying the coordination processes typical of networks. Coordination is an emergent process of parametric adaptation whereby highly decentralized decision makers adjust to prior decisions by undertaking actions in the pursuit of localized interests.

More research needs to be done along these lines. For instance, the process of parametric adaptive adjustment can, to a certain extent, take place within markets other than networks. Yet, while in markets people adapt to numerical parameters, networks feature non–numerical parameters. A host of issues lie behind this simple observation considering that numbers are highly standardized symbol systems (Kallinikos, 2001) that allow for more transient interactions than alternative symbol systems. Networks rely on alternative signaling mechanisms (Lerner and Tirole, 2000; Iannacci, 2002) to convey information and these mechanisms need to be accurately pinpointed in their various configurations. Additionally, the very institutional environment where networks operate is fundamentally different from the institutional setting of alternative organizational forms, the former pivoting around the right to distribute, the latter around the right to exclude (Moody, 2001; Weber, 2004). What are the implications of different institutional settings? How does it change across various configurations of networks?

Weber (2004) noted the ways in which some scholars use the term "self–organization" as a "placeholder for an unspecified mechanism" [ 25]. By acknowledging that self–organization is a useful contrast to "overarching authority and governance," Weber (2004) asked for an explanation of the processes whereby local interactions add up to "global" order. This paper may be thought of as an answer to Weber’s concerns. We have shown that "global" order ensues from local interactions by means of a process of parametric adaptations. Organizing requires common means rather than common ends because "people don’t have to agree on goals to act collectively" [26], their convergence on common goals coming much later, if ever at all.

Of course, there are alternative explanations. Networks might just be sets of social practices rather than meta– or new organizational forms (Kallinikos, forthcoming). There are obvious limitations to patterns of interaction in the absence of systems (Weick, 1974). Open Source projects do not feature consistent communication structures, especially related to bug fixing (Crowston and Howison, 2005). Our findings hint that heterarchies are more learning–oriented than hierarchies, thus suggesting that, among the cluster of motives inspiring Open Source developers, learning should be given a high ranking.

Within Open Source development, the social dynamics of coordination processes are fragmented, disjointed and incremental. If one agrees that developers opt for a modular structure before the Open Source process gets under way (Feller and Fitzgerald, 2002), then the only coordination pattern that fits into this modular structure is fragmented, disjointed and incremental. In line with Lindblom (1965) and Warglien and Masuch (1996), we have labeled this pattern as parametric adaptive adjustment. No wonder little light has so far been cast on the social dynamics of the Open Source process. Practitioners seem too intent to emphasize the chaotic nature of this phenomenon often forgetting that, "given that decision making is incremental and disjointed, more rather than fewer decision makers can facilitate coordination" [ 27]. As the number of developers grows, the possibilities for coordination are even greater. More — rather than fewer — developers bring more skills, interests, energies and intelligences to the issue of coordination, thus attacking problems from multiple vantage points and selecting the best emergent solutions. To reiterate, from a complexity perspective, the same process may also be seen as one of self–organization and exploration of the space of possibilities by the multiple developers as well as of emergent structures, based on both positive and negative feedback processes. The entire ensemble demonstrates weak and strong coupling, connectivity, interdependence and networking, with different patterns of connectivity and networking emerging as required. Finally, the Linux case shows both short–term adaptation to changes in the social and technical ecosystem, as well as longer term co–evolution, where mutual influence creates new behaviors and new technical developments. End of article

 

About the authors

Federico Iannacci is a scholar at the London School of Economics who is about to complete his PhD in the Department of Information Systems. He holds a Laurea in Economics and Finance from the University of Siena and a Master’s in Human Resource Management from the New Jersey Institute of Technology, where he represented the University of Siena throughout the 1999/2000 academic year. He is the author of "The Linux managing model," published in First Monday in 2003 (see http://www.firstmonday.org/issues/issue8_12/iannacci/), and "The economics of Open–Source networks," published in Communications and Strategies in 2002 (see http://opensource.mit.edu/papers/iannacci.pdf). He is currently involved with TWIST, a non–profit organization aimed at setting non–proprietary, Open Source standards in the banking industry. His areas of research include the management of innovation and the organizational design of new electronic work environments.
Web: http://personal.lse.ac.uk/iannacci/
E–mail: F [dot] Iannacci [at] lse [dot] ac [dot] uk.

Eve Mitleton–Kelly is the Director and founder of the Complexity Research Program at the London School of Economics; Visiting Professor at the Open University; Coordinator of Links with Industry & Government in the European Network of Excellence, "Exystence" (see http://www.complexityscience.org/index.php); and, Executive Director of Society for Organizational Learning — London (SOL–UK). Her recent work has concentrated on the implications of theories of complexity for IT legacy systems as well as organizational learning and the emergence of organizational forms. She is the editor of Complex systems and evolutionary perspectives on organisations: The application of complexity theory to organisations (Amsterdam: Pergamon, 2003).
Web: http://www.lse.ac.uk/people/e.mitleton-kelly@lse.ac.uk/
E–mail: E [dot] Mitleton–Kelly [at] lse [dot] ac [dot] uk.

 

Acknowledgements

The authors are grateful for the assistance of Jannis Kallinikos and the comments of Giovan Francesco Lanzara, Prodromos Tsiavos and Edgar Whitley.

 

Notes

1. Carroll and Burton, 2000, p. 322.

2. Mitleton–Kelly, 2003, p. 19.

3. Mitleton–Kelly, 2003, p. 11.

4. March, 1991, p. 71.

5. Mitleton–Kelly, 2003, p. 17.

6. At a later stage, Linux code was posted under GNU/GPL.

7. Raymond, 1999, p. 22.

8. Our methodology can be defined as a longitudinal case study. We have analyzed the decision–making patterns characterizing the Linux development process from its very inception. We have taken a set of two contingent responses between and among perceived others interacting over the Internet (i.e., the double interact) as our unit of analysis to investigate the unfolding of the decision–making processes punctuating the everyday life of this large–scale system with the purpose of shedding some light on the apparent chaotic nature of successful Open Source projects.

9. Source: http://www.ussg.iu.edu/hypermail/linux/kernel/0201.3/1070.html, last accessed 23 April 2005.

10. Jen (2002, p. 4) maintains that heterarchies are "interconnected, overlapping, often hierarchical networks with individual components simultaneously belonging to and acting in multiple networks, and with the overall dynamics of the system both emerging and governing the interactions of these networks."

11. Luhmann, 1995, p. 19.

12. Mitleton–Kelly, 2003, p. 23.

13. Orton and Weick, 1990; Beekun and Glick, 2001. It is worth stressing that, by definition, the degree of connectivity in loosely coupled systems changes over time. This, in turn, implies that parts that were loosely coupled might become more tightly coupled and vice versa. The crucial point, however, is that these parts always belong to greater wholes which, in turn, are only weakly interconnected with most other parts of their even larger wholes. On the former point see Weick, 1974.

14. Simon, 1962; Luhmann, 1995. Simon (1962) has given this possibility the stature of a hypothesis that he calls the "empty world" hypothesis. Simon explains that we should witness higher frequency of interaction within subsystems (i.e., strong ties) than between subsystems (i.e., weak ties).

15. Parametric adaptation is a process whereby individual agents take the behavior of others as a parameter to which they are willing to adapt if, and only if, it is in their interest to do so. On this point see Warglien and Masuch (1996) who argue that parametric adaptations are typical of organized anarchies.

16. It is worth stressing that while modalities of organizing refer to the structural features of organizing, coordination patterns look at this very same phenomenon from a process perspective.

17. Lindblom, 1965, p. 32; original emphasis.

18. Emphasis in original message, Source: http://www.ussg.iu.edu/hypermail/linux/kernel/0307.1/0920.html, last accessed 24 April 2005.

19. Noteworthy among these cycles are the stable versions released by other trusted lieutenants. Additionally, it is worth stressing that, although Torvalds is in charge of the kernel, which is architecture independent, as well as of the Intel x86 platform, several corporations have started releasing architecture–dependent branches suitable for PPC, Sparc, Sparc64, etc., thus spurring a situation where the kernel and its subsystems have been growing at a super–linear rate over time. On this point, see http://plg.uwaterloo.ca/~migod/papers/icsm00.pdf.

20. Axelrod and Cohen, 1999, p. 54.

21. Ibid., p. 57.

22. McVoy as quoted by Moody, 2001, p. 179. It is worth noticing that in early April 2005, Torvalds has replaced BK with Git, a tool that like BK does not rely on a single, centralized database and maintains a similar workflow for incorporating new patches. For further details see http://www.linux.org/news/2005/04/21/0012.html, last accessed 24 April 2005.

23. Lindblom, 1965, p. 75. Kollock (1999) draws on Yamagishi and Cook (1993) to explain this concept: "if I help a stranded motorist in my community, I do not expect that motorist to return the favor, but I may hope and expect someone else in the community to offer me aid should I be in a similar situation." It is worth stressing that in this example a network generalized exchange takes place without the use of technology. This logic, in turn, raises the interesting issue of how much coordination can be ascribed to technology and how much to such social artifacts as norms (i.e., shared ways to attain outcomes). Considering the burgeoning number of coordinating tools and associated papers emerging in the Open Source literature (see for instance the 4th Workshop on Open Source Software Engineering, at http://opensource.ucc.ie/icse2004/, accessed 24 April 2005), this article may be read as an attempt to shed light on the latter artifacts.

24. In complexity theory terms, therefore, developers may be thought of as co–evolving agents where the process of co–evolution is triggered by reciprocal influence and learning.

25. Weber, 2004, p. 132.

26. Weick, 1979, p. 91.

27. Lindblom, 1965, p. 157.

 

References

P. Anderson, 1999. "Complexity theory and organization science," Organization Science, volume 10, number 3, pp. 216–232.

R.M. Axelrod and M.D. Cohen, 1999. Harnessing complexity: Organizational implications of a scientific frontier. New York: Free Press.

R.I. Beekun and W.H. Glick, 2001. "Organization structure from a loose coupling perspective: A multidimensional approach," Decision Sciences, volume 32, number 2, pp. 227–251.

T. Carroll and R.M. Burton, 2000. "Organization and complexity: Searching for the edge of chaos," Computational and Mathematical Organization Theory, volume 6, number 4, pp. 319–337.

K. Crowston and J. Howison, 2005. "The social structure of free and Open Source software development," First Monday, volume 10, number 2 (February), at http://firstmonday.org/issues/issue10_2/crowston/, accessed 10 April 2005.

J. Feller and B. Fitzgerald, 2002. Understanding Open Source software development. Boston: Addison–Wesley.

R.B. Glassman, 1973. "Persistence and loose coupling in living systems," Behavioral Science, volume 18, pp. 83–98.

F. Iannacci, 2003. "The Linux managing model," First Monday, volume 8, number 12 (December), at http://www.firstmonday.org/issues/issue8_12/iannacci/, accessed 3 December 2003.

F. Iannacci, 2002. "The economics of Open–Source networks," Communications & Strategies, volume 48, number 4, pp. 119–138.

E. Jen, 2002. "Stable or robust? What’s the difference?" Santa Fe Institute, at http://www.santafe.edu/~erica/stable.pdf, accessed 16 August 2004.

J. Kallinikos, forthcoming. Systems and institutions: New developments in work, technology and organization.

J. Kallinikos, 2001. The age of Flexibility: Managing organizations and technology. Lund: Academia Adacta.

S.A. Kauffman, 1993. The origins of order: Self–organization and selection in evolution. New York: Oxford University Press.

P. Kollock, 1999. "The economies of online cooperation: Gifts and public goods in cyberspace," In: M. Smith and P. Kollock (editors). Communities in cyberspace. London: Routledge; draft at http://www.sscnet.ucla.edu/soc/faculty/kollock/papers/economies.htm, accessed 24 April 2005.

K. Kuwabara, 2000. "Linux: A bazaar at the edge of chaos," First Monday, volume 5, number 3 (March), at http://www.firstmonday.org/issues/issue5_3/kuwabara/, accessed 22 February 2002.

G.F. Lanzara and M. Morner, 2003. "The knowledge ecology of Open-Source software projects," 19th EGOS Colloquium (3–5 July 2003, Copenhagen), at http://opensource.mit.edu/papers/lanzaramorner.pdf, accessed 7 July 2003.

J. Lerner and J. Tirole, 2000. "The simple economics of Open Source," National Bureau of Economic Research (NBER), Working Paper, number 7600, at http://papers.nber.org/papers/w7600, accessed 24 April 2005.

D.A. Levinthal, 1997. "Adaptation on rugged landscapes," Management Science, volume 43, number 7, pp. 934–950.

C.E. Lindblom, 1965. The intelligence of democracy: Decision making through mutual adjustment. New York: Free Press.

N. Luhmann, 1995. Social systems. Translated by J. Bednarz, Jr., with D. Baecker. Stanford, Calif.: Stanford University Press.

J.G. March, 1991. "Exploration and exploitation in organizational learning," Organization Science, volume 2, number 1, pp. 71–87.

J.G. March and H.A. Simon, 1958. Organizations. New York: Wiley.

H.R. Maturana and F.J. Varela, 1992. The tree of knowledge: The biological roots of human understanding. Translated by R. Paolucci. Boston: Shambhala.

E. Mitleton–Kelly, 2003. "Ten principles of complexity and enabling infrastructures," In: E. Mitleton–Kelly (editor). Complex systems and evolutionary perspectives on organisations: The application of complexity theory to organisations. Amsterdam: Pergamon, 2003.

G. Moody, 2001. Rebel code: Linux and the Open Source revolution. London: Allen Lane.

M. Muffatto and A. Faldani, 2003. "Open Source as a complex adaptive system," Emergence, volume 5, number 3, pp. 83–100.

J.D. Orton and K.E. Weick, 1990. "Loosely coupled systems: A reconceptualization," Academy of Management Review, volume 15, number 2, pp. 203–223.

E.S. Raymond, 1999. The cathedral and the bazaar: Musings on Linux and Open Source by an accidental revolutionary. Cambridge, Mass.: O’Reilly.

H. Simon, 1962. "The architecture of complexity," Proceedings of the American Philosophical Society, volume 106, pp. 467–482.

D. Stark, 2001. "Ambiguous assets for uncertain environments: Heterarchy in postsocialist firms," In: P. DiMaggio (editor). The twenty–first–century firm: Changing economic organization in international perspective. Princeton, N.J.: Princeton University Press.

J.D. Thompson, 1967. Organizations in action: Social science bases of administrative theory. New York: McGraw–Hill.

I. Tuomi, 2002. Networks of innovation: Change and meaning in the age of the Internet. Oxford: Oxford University Press.

M. Warglien and M. Masuch, 1996. "Introduction," In: M. Warglien and M. Masuch (editors). The logic of organizational disorder. Berlin: W. de Gruyter.

S. Weber, 2004. The success of Open Source. Cambridge, Mass.: Harvard University Press.

K.E. Weick, 1979. The social psychology of organizing. Second edition. Reading, Mass.: Addison–Wesley.

K.E. Weick, 1976. "Educational organizations as loosely coupled systems," Administrative Science Quarterly, volume 21, number 1, pp. 1–19.

K.E. Weick, 1974. "Middle range theories of social systems," Behavioral Science, volume 19, number 6, pp. 357–367.


Editorial history

Paper received 3 April 2005; accepted 22 April 2005.


Contents Index

Copyright ©2005, Federico Iannacci and Eve Mitleton–Kelly.

Beyond markets and firms: The emergence of Open Source networks by Federico Iannacci and Eve Mitleton–Kelly
First Monday, volume 10, number 5 (May 2005),
URL: http://firstmonday.org/issues/issue10_5/iannacci/index.html